一、向量点乘
向量点积公式
向量a,b的长度都是可以计算的已知量,从而计算a和b间的夹角θ

判断这两个向量是否是同一方向,是否正交(也就是垂直)等方向关系,具体对应关系为:
a·b>0 方向基本相同,夹角在0°到90°之间
a·b=0 正交,相互垂直
a·b<0 方向基本相反,夹角在90°到180°之间
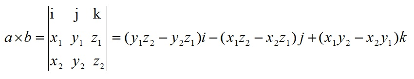
二、向量叉乘

向量a与向量b叉乘的公式:
叉乘几何意义
在三维几何中,向量a和向量b的叉乘结果为法向量,该向量垂直于a和b向量构成的平面,从而构建X、Y、Z坐标系。如下图所示
来源:CSDN
作者:juzi5211314
链接:https://blog.csdn.net/juzi5211314/article/details/103798542