1. 背景介绍
应力-应变曲线能够有效地帮助我们分析材料的力学性能,应力指物体单位面积上所受到力的大小,应变指物体的相对变形量。正应变描述的是沿着某一方向上长度的变化量,而切应变描述的是角度的变化量。
根据力的大小可根据胡克定律理论上计算得到任意位置应变。对于现代的测量方式而言,主要有引伸计、应变片、光学测量等方式,光学测量因非接触、精度高的特点,在工业测量领域受到高度关注。
2 变形梯度张量
光学测量使用数字图像相关法(Digital Image Correlation, DIC)获得被测物体表面的变形情况,因此,计算的是表面应变(Surface Strain)。在连续介质力学中,描述物体运动的方式有两种,即Lagrange描述与Euler描述。前者以不同时刻下物体的位置为研究对象,而后者以固定空间内的变化为对象。本文中我们在Lagrange描述下进行分析。
上图中,参考位置,在刻为,P和Q的位移量分别为,,该过程的运动描述为。根据应变的定义可知,要想得到应变,就需要建立与之间的关系,根据图示,很容易能够得到,进一步可知
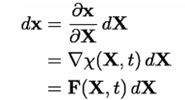
其中,是相对位移,为变形梯度张量(Deformation Gradient Tensor)。根据运动描述的全微分形式
由此前两式可知,变形梯度张量实际上是该物体运动描述函数的梯度。如果理解为变形后的长度,那么变形前长度就是,因此,只要能够得到,就能计算出应变大小。关于变形梯度张量的计算,若是已知运动方程,则只需要根据方程,求的偏导数矩阵即可,如下所示的计算例子。
前述内容是关于变形梯度张量的代数意义,而它在几何上的意义可以用公式表示为它表示的是连续介质刚体旋转与变形的过程,如下图所示,立方体在变形矩阵作用下变形为长方体,其后做刚体旋转,最终为时刻状态。或者也可以先旋转再变形,。
3. 表面应变计方法一
实际情况运动方程是未知的,那应该如何求解。根据前面的式子可知,如果能得到相对位移的梯度,那就能得到。使用DIC设备匹配散斑图像,重建能够得到匹配点的三维坐标,同时计算得到位移。但是,这些这些数据都是离散的,如何来求相对位移的梯度呢?常用的方法就是拟合,根据这些离散点的坐标为自变量,位移为因变量,拟合得到函数,。然后,求函数梯度,即可得到。
根据,计算得到格林-拉格朗日应变张量(Green-Lagrange tensor),
3.1 局部坐标系建立
DIC结果得到的实际上是一个没有厚度的面片,Surface strain或者Plain strain就是说,应变计算是一个沿着表面的、二维的度量。利用,或者其他局部范围内的点来构造一个平面,以此建立局部坐标系,有两种方式:一是这些点的拟合平面;二是在局部中心点处的切平面。
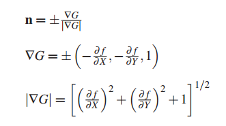
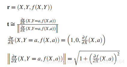
采用构造切平面的方式,使用局部内点坐标,拟合二次曲面,法向量为
切向量有无数条,关于切向量的选取,只需要固定或为一常数,从而确定一个切向量。它的选取最好能与沿着物体变形的方向。
根据向量叉乘得到另一个坐标轴,由此,获得, , 单位向量构建的局部坐标系
3.2 位移函数拟合
值得注意的是,每个点的位移量值不是将点投影到局部坐标系,然后做差。这种做法只适合于小弯曲变形情况,在Andresen 1999年撰写的论文中就有提到在大弯曲变形情况下,这种做法准确性很低。Surface strain, 是沿着表面方向发生的变形量,准确的来讲,应该使用弧长而不是位移向量,如图所示。换句话说,相当于把面展开成平面。,准确的方法应该是在上一步建立的局部坐标下,将重建的三维点,根据拟合的二次曲面沿展到面内,最后在面内得到每一个点的“位移量”。

假设点的位移模式为如下二次形式

现在已知每一个点在面内的坐标,以及该点的在方向的“位移”,如果选取的是的点,9个方程,6个未知系数,利用最小二乘法求解,得到函数的表达式。
3.3 位移函数偏导
由前述得到位移函数的表达式之后,也就能计算得到同理得到另一个方向的偏导数,带入上述变形梯度张量的计算中,最终求解格林应变张量。根据3.1~3.3的步骤,遍历DIC重建得到的每一个点,由此可以获得物体表面变形的应变分布。
4. 表面应变计算方法二
通过第3节中的计算过程,其实可以看出来,连续变形过程的应变计算本质上讲就是位移的变化率,用公式来说就是这里通过搜集的资料,给大家分享第二种表面应变计算方法,其本质没有变,只是策略是利用了有限元理论中,三角形单元的应变计算。
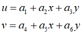
既然DIC设备重建得到的是点的信息,那就可以将这些点连接为一个个的三角形,三角形内任意点的位移可以根据如下位移模式得到
方程中含有6个未知数,三角形的每一个定点坐标与位移量大小都是DIC获取的,每一点能够建立两个方程,那么3个点正好6个方程,可以求解。同样地,就可以得到位移的梯度
代入变形梯度张量公式与格林应变公式,即可得到结果。三角形单元是一次形式的单元,单元内任意一点的应变是一个常数,那么在四个三角形中心点处的应变,需要求平均值。
同样地,遍历所有点,构造周围四个三角形,得到该点格林应变。由上述过程可以看出,该方法的前提就是获取点之间的间距必须足够小,否则对于大变形的情况精度会很差,而方法一的误差则主要来自于拟合误差。
来源:CSDN
作者:leaf_csdn
链接:https://blog.csdn.net/weixin_43956164/article/details/103698206