二叉搜索树的插入排序
二叉搜索树定义为:
左子树仅包含小于根结点的元素;
右子树仅包含大于根结点的元素;
左右子树均为二叉搜索树。
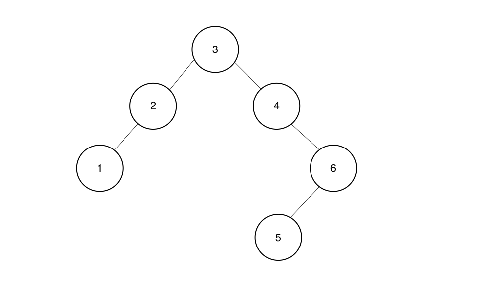
一棵二叉搜索树可以有不同的插入顺序。例如,对于如下的二叉搜索树
figure.png
插入序列可以是 3 2 1 4 6 5, 也可以是 3 2 4 1 6 5 但不可以是 3 2 4 5 6 1。
下面给出一棵二叉搜索树的先序遍历序列,请编写程序求出该树的插入序列个数。考虑到总数可能非常大,请输出总数对 1000000007 (10
9
+7)取余的结果。
输入格式:
第一行给出一个整数 N (0<N<=100),表示二叉树中元素个数;
第二行给出 N 个正整数,以空格分隔,表示二叉树的先序遍历序列;
输出格式:
在一行中输出插入序列总数。
输入样例:
6
3 2 1 4 6 5
输出样例:
10
解题思路
1、先构造杨辉三角(用于存放组合数)。
2、先根据输入的序列先序构造成一个树。
3、根据这个已经构造好的二叉树计算它的插入序列总数,具体计算方式如下
对于一个结点
1、如果是叶子结点,那么它的插入序列只有一种
2、若果只有左子树,那么它的插入序列数和他的左子树一样
3、如果只有右子树,那么它的插入序列数和他的右子树一样
4、如果左右子树都有,则它的插入序列数等于左子树的序列个数右子树的序列个数
(组合数)C(左子树的元素个数+右子树的元素个数)(左子树元素个数)
代码
#include<stdio.h>
#include<stdlib.h>
#include<string.h>
typedef struct node{ //结点结构
int data; //结点数据
long n; //当前结点作为根结点时的序列种类
int num; //当前结点的子树元素的个数
struct node * lchild; //左孩子
struct node * rchild; //右孩子
}node,* tree;
tree creattree(int *p,int n){ //先序构建二叉树,P为输入序列首地址,n为元素个数
tree t; //声明一个结点空间
if(n<=0||p[0]==-1) //n=0或到达-1则标志已经结束
return NULL;
t=(tree)malloc(sizeof(node)); //分配空间
t->data=p[0]; //当前结点的数据域赋值
t->n=1; //当前只有一种
t->num=n; //当前字树元素个数
int flag; //设立一个标志,用于记录大于根结点的下一个结点的上一个元素的下标
for(int i=1;i<=n-1;i++){ //循环找出大于根结点的下一个结点的上一个元素的下标
if(p[i]<p[0]){ //找出小于根结点的元素
#include<stdio.h>
#include<stdlib.h>
#include<string.h>
typedef struct node{ //结点结构
int data; //结点数据
long long n; //当前结点作为根结点时的序列种类
#include<stdio.h>
#include<stdlib.h>
#include<string.h>
typedef struct node{ //结点结构
int data; //结点数据
long long n; //当前结点作为根结点时的序列种类
int num; //当前结点的子树元素的个数
struct node * lchild; //左孩子
struct node * rchild; //右孩子
}node,* tree;
tree creattree(int *p,int n){ //先序构建二叉树,P为输入序列首地址,n为元素个数
tree t; //声明一个结点空间
if(n<=0||p[0]==-1) //n=0或到达-1则标志已经结束
return NULL;
t=(tree)malloc(sizeof(node)); //分配空间
t->data=p[0]; //当前结点的数据域赋值
t->n=1; //当前只有一种序列
t->num=n; //当前子树元素个数
int flag; //设立一个标志,用于记录大于根结点的下一个结点的上一个元素的下标
for(int i=1;;i++){ //循环找出大于根结点的下一个结点下标
if(p[i]>p[0]){ //找出大于根结点的元素的下标
flag=i;
break;
}
}
t->lchild=creattree(p+1,flag-1);//先序情况下从根结点的下一个结点开始,到大于根结点的结点之前,都是其左子树
t->rchild=creattree(p+flag,n-flag); //先序情况下大于根结点的结点到结束,都是右子树
return t; //返回根结点
}
int yanghui[101][101]; //构建杨辉矩阵
void creatyanghui(){ //构建杨辉三角
for (int i=0;i<=100;i++){
yanghui[i][0]=1;
yanghui[i][i]=1;
for (int j=1;j<i;j++) {
yanghui[i][j]=yanghui[i-1][j]+yanghui[i-1][j-1];
yanghui[i][j]%=1000000007; //随着循环,到后面yanghui[i][j]的值已经极其庞大,远远超过了int的界限,这里先取余数
}
}
}
void count(tree t){ //后续遍历,添加序列种类
if(t){ //非空树
count(t->lchild);
count(t->rchild);
if(!(t->lchild)&&!(t->rchild)) //叶子结点,只有一种
t->n=1;
else if((t->lchild)&&!(t->rchild)) //只有左子树,种类和左子树一样
t->n=t->lchild->n;
else if((t->rchild)&&!(t->lchild)) //只有右子树,种类和右子树一样
t->n=t->rchild->n;
else //左右子树都有
t->n=(t->lchild->n)%1000000007*(t->rchild->n)*yanghui[t->lchild->num+t->rchild->num][t->lchild->num];
//同杨辉矩阵一样,到后面t->n的值已经极其庞大,所以这里每次计算都对1000000007取余数,防止越界,而对结果又不影响
}
};
int main(void){
creatyanghui();
int gets[101]; //结点序列
int num; //结点个数
scanf("%d",&num); //输入结点个数
for(int i=0;i<=num-1;i++){ //输入结点序列
scanf("%d",&gets[i]);
if(i==num-1) gets[i+1]=-1; //标志序列结束
}
tree t; //声明二叉树
t=creattree(gets,num); //构建先序二叉树
count(t);
printf("%d",(t->n));
}
来源:CSDN
作者:_include-
链接:https://blog.csdn.net/zjc_include/article/details/103756196