【推荐】2019 Java 开发者跳槽指南.pdf(吐血整理) >>>
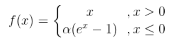
ELU函数是针对ReLU函数的一个改进型,相比于ReLU函数,在输入为负数的情况下,是有一定的输出的,这部分输出还有一定的抗干扰能力。可以消除ReLU死掉的问题,但它还有梯度饱和和指数运算的问题,需要我们面对。


来源:oschina
链接:https://my.oschina.net/kaiyuancao/blog/3149290
【推荐】2019 Java 开发者跳槽指南.pdf(吐血整理) >>>
ELU函数是针对ReLU函数的一个改进型,相比于ReLU函数,在输入为负数的情况下,是有一定的输出的,这部分输出还有一定的抗干扰能力。可以消除ReLU死掉的问题,但它还有梯度饱和和指数运算的问题,需要我们面对。


来源:oschina
链接:https://my.oschina.net/kaiyuancao/blog/3149290