第一章
一.近景摄影测量
1)定义:通过摄影手段以确定(地形以外)目标的外形和运动状态的学科分支
2)优点:
- 瞬间获取被测物体大量物理信息和几何信息
- 非接触性量测手段
- 适合于动态物体外形和运动状态测定的手段
- 可提供相当高的精度与可靠性
- 基于数字信息和数字影像技术以及自控技术
- 可提供基于三维空间坐标的各种产品
3)缺点:
- 技术含量高,需要较昂贵的硬设备投入和较高素质的技术人员
- 对所有测量对象不一定是最佳的技术选择
例如:
1.不能获取质量合格的影像;
2.目标上待测点为数不多。
二.各类三位测量方法:
- 基于测距测角的工程测量
- 大型三维坐标量测设备
- 基于光干涉原理的测量设备
- 全息技术
- 光截面测量摄影
- 基于磁力场的三维坐标量测设备
三.影响近景摄影测量精度的因素
- 影像获取设备的性能
- 摄影方式
- 控制的质量
- 被测物体的照明状态
- 后续处理硬软件的性能
四.近景摄影测量的用途:
- 古建筑与古文物摄影测量
- 生物医学摄影测量
- 工业摄影测量
五.常用坐标系:
- 物方坐标系D-XYZ,用于形容被测目标的空间形状或运动状态
- 像空间坐标系S_xyz,用于形容像a的空间坐标(x,y,-f)
- 像空间辅助坐标系S-XYZ,一种过渡性坐标系
- 像平面坐标系o-xy,(x,y)
六.像片的内方位元素与外方位元素 - 像片的内方位元素与外方位元素是确定像片在物方空间坐标系D-XYZ中的位置与朝向的要素
- 像片的内方位元素恢复(摄影时)光束形状
- 像片的外方位元素确定物方空间坐标系的位置与朝向
七.近景摄影测量与航空摄影测量的比较?
相同点:基本原理相同;模拟处理方法、解析处理方法、数字影像处理方法基本相同
不同点:
- 测量目的不同:航空摄影测量以测制地形、地貌为主;近景摄影测量以测定目标物的形状、大小和运动状态为目的
- 被测量目标物不同
- 目标物纵深尺寸与摄影距离比的变化范围不同:航空摄影测量的比例尺变化范围不大,近景摄影测量的比例尺变化范围较大。
- 摄影方式不同:航空摄影为近似竖直摄影方式;近景摄影除正直摄影方式外,还有交向摄影方式。
- 影像获取设备不同:航空摄影以航摄仪为主;近景摄影除各种量测摄影机外,还有各类非量测摄影机。
- 控制方式不同:航空摄影测量的控制方式以控制点为主,且多为明显的地面点;近景摄影测量除控制点方式外,还有相对控制方式,且常常使用人工标志。

第二章
一.近景摄影作业的四个阶段:
- 方案制定阶段:整体规划
- 摄影阶段:获取质量合格的被测物体的照片或影像
- 摄影测量处理阶段:获取目标上离散的点的坐标或其他数据,以获取被测物体静态形状,大小,或动态物体运动参数
- 基于摄影测量处理后数据的应用
二.摄影设备
1)硬拷贝:借助摄影机可获取被测物体的照片或底片
2)软拷贝:借助摄像机可获取被测物体的影像
3)分类:
- 量测摄影机
- 格网量测摄影机
- 半量测摄影机
- 非量测摄影机
4)量测摄影机:专为测量目的而设计制造的,内方位元素已知,可记录,光学畸变差小,附有畸变差值
种类:
1.UMK型量测摄影机
2.P31型量测摄影机(瑞士原威特生产)
3.Photheo 19/1318型量测摄影机(德国耶那生产)
5)格网量测摄影机:配有标准格网以改正底片变形,并具有量测摄影机功能
6)半量测摄影机:不具备量测摄影机众多功能但配有改正底片变形的格网的摄影机
7)立体量测摄影机:在已知长度的摄影基线两端,配有两台主光轴平行且与基线垂直的量测摄影机
8)非量测摄影机:不是专门测量目的而设计制造的摄影机
该摄影机内方位元素不能记录,光学畸变大,未采取减少或改正底片变形的措施,并且不具备记载外部定向参数的功能。
第三章
一.问题与作业
Q1:手机与相机连接方式?
Q2:CCD与CMOS优缺点
CCD特点:成像质量:动态范围、灵敏度都高,低噪点没有;成本高;电耗高;最大读出速度不高于20fps;镜头选择有限;发热高
CMOS特点:成本低;成本从中等到低;电耗低;镜头选择广;发热低;成像质量:动态范围、灵敏度从低到非常高;低噪点几乎没有。
Q3:量测摄影机的摄影测量性能是什么?
专为测量目的而设计制造,结构严谨,经过严格检校
内方位元素已知,可记录
光学畸变差小,附有畸变差值
具有外部定向设备
有机械或光学框标
采取措施压平底片
Q5:什么是硬拷贝?什么是软拷贝?两者区别是什么?
1)硬拷贝:借助摄影机可获取被测物体的照片或底片;模拟近景摄影测量和解析近景摄影测量均使用这些“硬拷贝”。
2)软拷贝:借助摄像机可获取被测物体的影像;摄像现场把这些影像或存贮在磁盘一类的介质上。
二.固态摄像机基本知识
1)固态摄像机组成
1.组成:光敏元件与物镜系统
2.固态摄影机的传感器:一种全固化的器件
3.光敏元件【核心部分】分类:
电荷耦合器件CCD(使用最为广泛)
电荷注入器件CID
位置传感探测器PSD
4.光敏元件的作用:依光电效应原理,把光辐射的能力转化为视频信号。
2)固态摄像机的特点:
- 全固化、体积小、重量轻、不受电磁现象干扰
- 像元几何位置精度高,且不会改动
- 可选取不同的固态图像传感器,以探测不同波长的发光物体
- 生成的视频信号直接与计算机相连
3)固态影像传感器原理:
光电子转换为电信号,并成影像。
4)软硬拷贝
1.数字化近景摄影测量处理的是“硬拷贝”
2.数字近景摄影测量处理的是“软拷贝”
3.基于硬拷贝的方法:
a.模拟法近景摄影测量
b.解析法近景摄影测量
c.数字化近景摄影测量
4.基于软拷贝的方法【基于使用固态摄像机,无需数字化】:
数字近景摄影测量
第四章
一.近景摄影测量的两种基本摄影方式
1.正直摄影方式
1)定义:摄影时,像片对两像片的主光轴S1o1 与S2o2彼此平行,且垂直于摄影基线B的摄影方式
2)特点:
①该方式生成影像的“变形”,由于被测物的“起伏”
②多适用于近景摄影测量和解析摄影测量,多用于肉眼立体观测。
③像片对一般有55%-70%的重叠
④可形成对目标物的“航带网”摄影或“区域网”摄影
2.交向摄影方式
1)定义::摄影时,像片对两像片的主光轴S1o1 与S2o2大体位于同一平面但不平行,且不垂直于摄影基线B的摄影方式。
2)特点:
①生成影像的“变形”,由于被测物的“起伏”和像对两像片的大的相对角度。
②多用于解析近景摄影测量或数字近景摄影测量
③像片对100%重叠
④多摄站摄影测量,主要为了大幅度提高摄影测量的精度和可靠性
二.正直摄影方式的精度估算
三.景深
四.曝光时间注:相邻光圈号数之间关系为√2
五.立体像对的摄取方法
1.立体像对
定义:从空间两个位置对同一目标物拍摄的两张像片
2.拍摄方法:
H为摄影距离,B为摄影基线
- 移动相机法:保持目标不动

- 移动目标法:保持相机不动,移动被测目标

- 旋转目标法:当被测目标较轻小,且需要测定其立体形状

- 投影标准格网法

- 利用分光装置法

六.运动物体的同步摄影方法
1.同步摄影定义:
对动态目标拍摄立体像对,需要两台或以上的摄影机在同一时刻对此动态目标进行摄影,即同步摄影。
同步的标准:考察两摄影机在拍摄的瞬间,由于曝光不在绝对的同一时刻,造成运动目标在影像上的位移是否可以容忍。
2.同步摄影方法:
- 同步快门:①机械同步快门、②电子同步快门
- 计时装置
- 闪光照明:①主动频闪照明、②被动频闪照明【闪光持续时间1/1000~1/2000s】
- 立体摄影的同一物镜法
七.被测物体表面处理
1.定义:在待测物体表面人工制作某种纹理以保证和提高影像识别与摄影测量量测性能的工作
目的:为了提高影像的识别能力
2.表面处理方法:
①利用投影设备
②利用激光经纬仪
③按一定间隔将某种标志,贴附在被测物表面
④手工绘制人工纹理
3.照明原则:
1、使用自然光时,要照度均匀,避免出现反差过大的现象;
2、使用人工光源时照明灯要布置适宜;
3、有些情况下要注意局部照明,如黑暗情况下的控制点、标准尺照明;
4、特殊光源的使用。
八.人工标志
1.广泛使用的原因:1.人工标志可以保证保证或提高测量精度和可靠性。2.与航空摄影测量相比较,大量人工标志布置并不难。
2.设计的要求:1.适宜的尺寸成像。2.必须为控制测量测定其坐标时,标示精确而明确的目标
第五章
一.近景摄影测量的控制
1.目的:
主要目的:1. 把所构建的近景摄影测量网纳入到给定的物方空间坐标系中
2. 利用多余的控制包括控制点和相对控制加强近景摄影测量网的强度
3. 利用多余的控制点和相对控制检查近景摄影测量的精度和可靠性
2.两类控制:
①控制点:控制点通常是布设在被测目标上或其周围的已知坐标的标志点
三维控制点;二维控制点;一维控制点
②相对控制:在近景摄影测量中布置在物方空间的未知点间的某种已知几何关系
例子:物方空间两个位置点间的已知长度;已知角度,角度相对控制;未知点位于同一平面
3.控制点的测定精度要求
m-待定点坐标中误差;m控-控制点坐标中误差;m摄-摄影测量中误差
注意:m控<m摄/3;近景摄影测量中误差m摄可预先得到估算,所以控制点的测定精度也能得以预先设计。
4.控制点的测量方法
上式中
若物方空间坐标系的原点与点A重合
若物方空间坐标系的原点与点A重合,且其Y轴与AB的投影重合,即
A点与B0点连线作为坐标系Y轴
5.室内控制场
- 建立目的:
1、用于摄影机检定
2、用于摄影测量理论的研究
3、用于实测目标形状或运动状态 - 布设原则
1、足够数量的三维控制点
2、控制点应分布均匀 在空间上有足够延伸
3、留有摄影空间
4、最好安置两个稳定的测墩
第六章
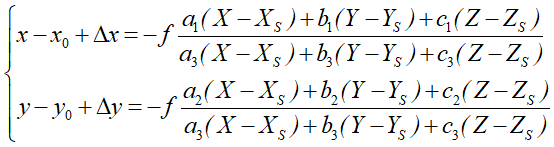
一.基于共线条件方程式的近景像片解析处理方法
1.近景摄影测量的三种处理方式:
①模拟法近景摄影测量
②解析法近景摄影测量
③数字近景摄影测量
2.共线方程的像点误差方程式的一般式及每个符号的意义




ps: 若把物方空间坐标未知数 分作控制点未知数 和待定点未知数 两组,则得共线条件方程式像点坐标误差方程式的一般式:
3.多片空间前方交会解法影响精度的因素:
1)、网的几何构形(包括像片张数、布局、交会角)
2)、像点坐标的质量
3)、各像片外方位元素的测定精度
4)、摄影机内方位元素的检定水平
第七章
近景摄影测量的三种处理方式:
模拟法近景摄影测量;
解析法近景摄影测量:基于共线条件方程的解析处理方法(最重要、应用最广泛)
数字近景摄影测量。
直接线性变换解法的基本关系式:【共线条件方程】


第八章
共面条件方程式:
这两章老师上课没讲,很大可能不考!赌一下!!!!!
第九章
一.近景摄影机的检校
1.定义:检查和矫正摄影机内方位元素和光学畸变系数的过程
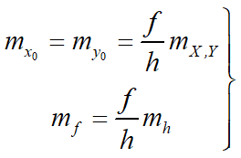
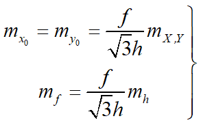
2.内方位元素测定精度
①估算式:

②如果测定精度产生影响的误差源不只内方位元素一个,那么估算式为:
所用摄影机主距f越大,被测物深度h越小,内方位元素测定精度要求越低。
3.出于求解内方位元素和光学畸变的目的,近景摄影机的检校方法分类:
- 光学实验室检校:适用于:调焦到无穷远的近景量测摄影机的检校
- 实验场检校法:实验场一般由一些已知空间坐标的标志点构成
- 在任检校法:在任检校法是一种在完成某个近景摄影测量任务中同时对摄影机进行检校,特别适用于非量测相机
- 自检校法: 光线束自检校平差解法是一种无需控制点,适用于量测摄影机和非量测摄影机的检校
- 恒星检校法:基于“给定时间和地点的恒星方位角和天顶角为已知”原理的摄影机检校方法,适合于调焦于无穷远处的仪器的检校。
4.光学畸变差
一些定义:
主距f:是物镜系统投影中心到影像平面之间的垂直距离,其垂足即为主点o。
注:主距f的数值一般大于物镜系统的焦距F
自准直主点PPA:是物镜系统光轴与垂直于此光轴的理想成像平面P0的交点。
①定义:摄影机物镜系统设计、制作、装配所引起的像点偏离理想位置的点位误差
②分类:
- 径向畸变差
- 偏心畸变差:1.非对称径向畸变2.切向畸变
光学畸变与光线入射角有关,也与主距有关
③(物理表达)径向畸变差Δr:

④(数学表达)径向畸变差:
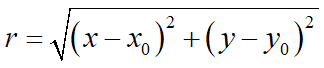
Δr是以μm为单位表示的径向畸变差,ki是描述该物镜系统径向畸变的系数,r为该像点 的向径,r可以近似为:
- 绝大多数物镜系统:取3个k系数
- 质量上好物镜系统:取k1和k2
- 某些变形甚大的相机:取5个系数(k1,k2,k3,k4,k5)
⑤偏心畸变差:
定义: 物镜系统各单元透镜,因装配和震动偏离了轴线或歪斜,从而引起的像点偏离其准确理想位置的误差
一般情况下,偏心畸变比径向畸变小
来源:CSDN
作者:weixin_44133394
链接:https://blog.csdn.net/weixin_44133394/article/details/103533592





