1、直接插入排序基本思想
将一个记录插入到已排好序的序列中,从而得到一个新的有序序列(将序列的第一个数据看成是一个有序的子序列,然后从第二个记录逐个向该有序的子序列进行有序的插入,直至整个序列有序)
可以选择不同的方法在已经排好序数据表中寻找插入位置。根据查找方法不同,有多种插入排序方法,下面要介绍的是直接插入排序。
2、排序过程分析
设待排序的表有10个元素,其关键字分别为{9,8,7,6,5,4,3,2,1,0},直接插入排序的过程如下:
3、算法实现 -C语言
#include <stdio.h>
#include <stdlib.h>
#include <math.h>
#include <string.h>
/*
参数a为需排序的数组
参数n为数组需排序的个数
*/
void Insertion_Sort(int a[],int n)
{
int i = 0,j = 0; //循环变量
int temp; //存储待排序的元素
for(i = 1;i < n;i++)
{
temp = a[i];
for(j = i-1;j >=0 && temp < a[j];j--) //当未达到数组的第一个元素或者待插入元素小于当前元素
{
a[j+1] = a[j]; //就将该元素后移
}
a[j+1] = temp; //插入位置已经找到,立即插入
}
}
int main(int argc, char *argv[])
{
int a[10] = {9,8,7,6,5,4,3,2,1,0};
int i;
Insertion_Sort(a,10);
for(i = 0;i < 10;i++)
{
printf("%d ",a[i]);
}
return 0;
}
4、算法分析
(1)当初始序列为正序时,只需要外循环n-1次,每次进行一次比较,无需移动元素。此时比较次数
和移动次数达到最小值。

此时时间复杂度为O(n)。
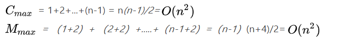
(2)当初始序列为反序时,需要外循环n-1次,每次排序中待插入的元素都要和[0,i-1]中的i个元素进行比较且要将这i个元素后移i次,加上tmp=arr[i]与arr[j]=temp的两次移动,每趟移动次数为i+2,此时比较次数和移动次数达到最大值。
此时时间复杂度O(n^2)
(3)在直接插入排序中只使用了i,j,temp这三个辅助元素,与问题规模无关,空间复杂度为O(1)。
(4)相同元素的相对位置不变,如果两个元素相同,插入元素放在相同元素后面。是一种稳定排序。
来源:CSDN
作者:Alan
链接:https://blog.csdn.net/qq_41290252/article/details/103685485