计算机图形学期末总复习
第四章 向量
一、向量
The difference between two points is a vector.
两点之差为向量
The sum of a point and a vector is a point
点和向量之和为一个点

向量的线性组合: w = a1 * v1 + a2 * v2 + …+ am * vm
若a1 + a2 + a3 +…+ am = 1 ,则称为仿射组合
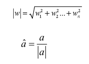
向量大小及向量归一化
二、点积
点积之后得到的结果是一个数

两个向量间的夹角
向量点积符号性
向量正交

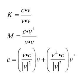
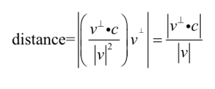
正交投影和点到直线距离

两遍同时乘v
最终整理得到
沿v方向c的分量称为向量c投影到向量v上的正交投影
垂直于v方向上的分量称为c到直线的距离
反射

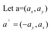
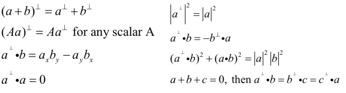
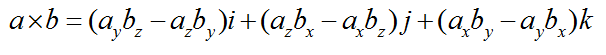
三、向量叉积(三维)

为了方便记忆,可以改写成以下
总结来说
叉乘的集合解释为:
当两向量平行或方向相反时叉乘结果为0
叉乘的性质
平面的法向量
平面内三个点(不在一条直线上)相减得出两个向量。两向量叉乘即得该平面的法向量。
点的仿射组合
点的线性组合(除仿射组合外)没有意义,但仿射组合有意义
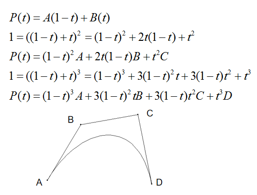
点的变换,线性插值
内插
A为变换前坐标,B为变换后坐标,P(t)为t(0<=t<=1)时刻的坐标
推广
两次,三次内插产生的弧形
四、直线
直线方程
当0 <= t <= 1,为线段
当t >= 0,为射线
当-∞ <= t <= ∞,为直线
两直线交点

五、平面的参数表示
由一个点C和两个向量a,b(不平行)来表示
当s,t都为零时,对应的是C本身
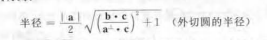
过三点的圆(三角形三边中垂线交点)


直线与直线、面相交

点是否位于多边形内

直线(线段)与凸多边形相交

来源:CSDN
作者:远辰-_-
链接:https://blog.csdn.net/qq_40656583/article/details/103647810