#一 继承介绍

继承是一种创建新类的方式,在Python中,新建的类可以继承一个或多个父类,新建的类可称为子类或派生类,父类又可称为基类或超类
class ParentClass1: #定义父类
pass
class ParentClass2: #定义父类
pass
class SubClass1(ParentClass1): #单继承
pass
class SubClass2(ParentClass1,ParentClass2): #多继承
pass
通过类的内置属性__bases__可以查看类继承的所有父类
>>> SubClass2.__bases__
(<class '__main__.ParentClass1'>, <class '__main__.ParentClass2'>)

在Python2中有经典类与新式类之分,没有显式地继承object类的类,以及该类的子类,都是经典类,显式地继承object的类,以及该类的子类,都是新式类。而在Python3中,即使没有显式地继承object,也会默认继承该类,如下
>>> ParentClass1.__bases__
(<class ‘object'>,)
>>> ParentClass2.__bases__
(<class 'object'>,)
因而在Python3中统一都是新式类,关于经典类与新式类的区别,我们稍后讨论
提示:object类提供了一些常用内置方法的实现,如用来在打印对象时返回字符串的内置方法__str__

二 继承与抽象
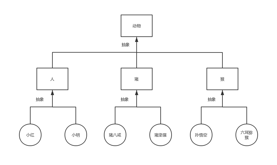
要找出类与类之间的继承关系,需要先抽象,再继承。抽象即总结相似之处,总结对象之间的相似之处得到类,总结类与类之间的相似之处就可以得到父类,如下图所示

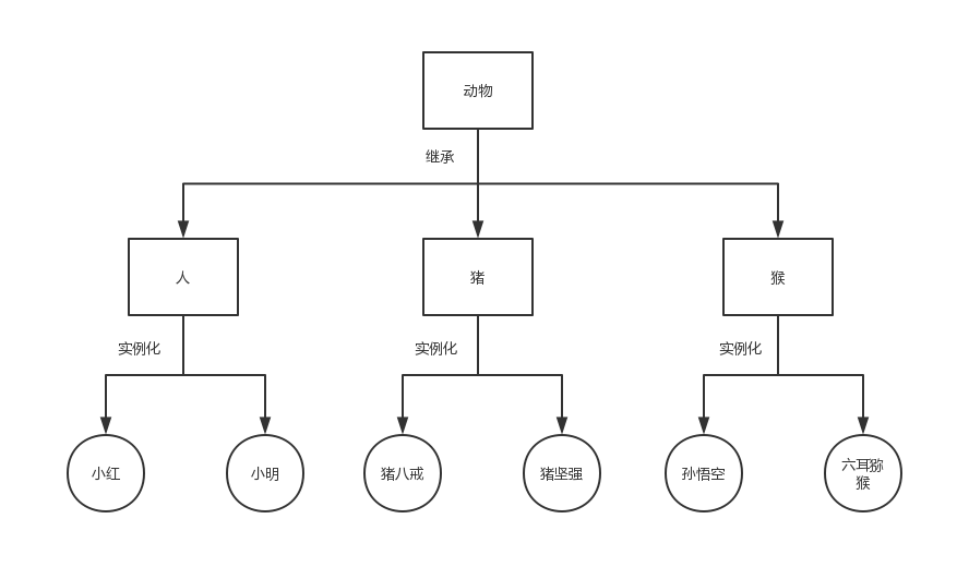
基于抽象的结果,我们就找到了继承关系

基于上图我们可以看出类与类之间的继承指的是什么’是’什么的关系(比如人类,猪类,猴类都是动物类)。子类可以继承/遗传父类所有的属性,因而继承可以用来解决类与类之间的代码重用性问题。比如我们按照定义Student类的方式再定义一个Teacher类
class Teacher:
school='清华大学'
def __init__(self,name,sex,age):
self.name=name
self.sex=sex
self.age=age
def teach(self):
print('%s is teaching' %self.name)

类Teacher与Student之间存在重复的代码,老师与学生都是人类,所以我们可以得出如下继承关系,实现代码重用
class People:
school='清华大学'
def __init__(self,name,sex,age):
self.name=name
self.sex=sex
self.age=age
class Student(People):
def choose(self):
print('%s is choosing a course' %self.name)
class Teacher(People):
def teach(self):
print('%s is teaching' %self.name)
Teacher类内并没有定义__init__方法,但是会从父类中找到__init__,因而仍然可以正常实例化,如下
>>> teacher1=Teacher('lili','male',18)
>>> teacher1.school,teacher1.name,teacher1.sex,teacher1.age
('清华大学', 'lili', 'male', 18)

三 属性查找
有了继承关系,对象在查找属性时,先从对象自己的__dict__中找,如果没有则去子类中找,然后再去父类中找……
>>> class Foo:
... def f1(self):
... print('Foo.f1')
... def f2(self):
... print('Foo.f2')
... self.f1()
...
>>> class Bar(Foo):
... def f1(self):
... print('Foo.f1')
...
>>> b=Bar()
>>> b.f2()
Foo.f2
Foo.f1
b.f2()会在父类Foo中找到f2,先打印Foo.f2,然后执行到self.f1(),即b.f1(),仍会按照:对象本身->类Bar->父类Foo的顺序依次找下去,在类Bar中找到f1,因而打印结果为Foo.f1

父类如果不想让子类覆盖自己的方法,可以采用双下划线开头的方式将方法设置为私有的
>>> class Foo:
... def __f1(self): # 变形为_Foo__fa
... print('Foo.f1')
... def f2(self):
... print('Foo.f2')
... self.__f1() # 变形为self._Foo__fa,因而只会调用自己所在的类中的方法
...
>>> class Bar(Foo):
... def __f1(self): # 变形为_Bar__f1
... print('Foo.f1')
...
>>>
>>> b=Bar()
>>> b.f2() #在父类中找到f2方法,进而调用b._Foo__f1()方法,同样是在父类中找到该方法
Foo.f2
Foo.f1

四 继承的实现原理
对于你定义的每一个类,Python都会计算出一个方法解析顺序(MRO)列表,该MRO列表就是一个简单的所有基类的线性顺序列表,如下
>>> F.mro() # 新式类内置了mro方法可以查看线性列表的内容,经典类没有该内置该方法
[<class '__main__.F'>, <class '__main__.D'>, <class '__main__.B'>,
<class '__main__.E'>, <class '__main__.C'>, <class '__main__.A'>, <class ‘object’>]
MRO列表的构造是通过一个C3线性化算法来实现的,我们无需深究该算法的数学原理,它实际上就是合并所有父类的MRO列表,且在查找属性时,Python会基于MRO列表按照从左到右的顺序依次查找基类,直到找到第一个匹配这个属性的类为止。

在Python中子类可以同时继承多个父类,在子类继承了多个父类时,经典类与新式类会有不同MRO,分别对应属性的两种查找方式:深度优先和广度优先
插图:经典类的深度优先查找
插图:新式类的广度优先查找

五 派生与方法重用
子类可以派生出自己新的属性,在进行属性查找时,子类中的属性名会优先于父类被查找,例如每个老师还有职称这一属性,我们就需要在Teacher类中定义该类自己的__init__覆盖父类的
>>> class People:
... school='清华大学'
...
... def __init__(self,name,sex,age):
... self.name=name
... self.sex=sex
... self.age=age
...
>>> class Teacher(People):
... def __init__(self,name,sex,age,title): # 派生
... self.name=name
... self.sex=sex
... self.age=age
... self.title=title
... def teach(self):
... print('%s is teaching' %self.name)
...
>>> obj=Teacher('lili','female',28,'高级讲师') #只会找自己类中的__init__,并不会自动调用父类的
>>> obj.name,obj.sex,obj.age,obj.title
('lili', 'female', 28, '高级讲师')
很明显子类Teacher中__init__内的前三行又是在写重复代码,若想在子类派生出的方法内重用父类的功能,有两种实现方式
方法一:“指名道姓”地调用某一个类的函数
>>> class Teacher(People):
... def __init__(self,name,sex,age,title):
... People.__init__(self,name,age,sex) #调用的是函数,因而需要传入self
... self.title=title
... def teach(self):
... print('%s is teaching' %self.name)
...

方法二:super()
调用super()会得到一个特殊的对象,该对象专门用来引用父类的属性,且严格按照MRO规定的顺序向后查找
>>> class Teacher(People):
... def __init__(self,name,sex,age,title):
... super().__init__(name,age,sex) #调用的是绑定方法,自动传入self
... self.title=title
... def teach(self):
... print('%s is teaching' %self.name)
...
提示:在Python2中super的使用需要完整地写成super(自己的类名,self) ,而在python3中可以简写为super()。

这两种方式的区别是:方式一是跟继承没有关系的,而方式二的super()是依赖于继承的,并且即使没有直接继承关系,super()仍然会按照MRO继续往后查找
>>> #A没有继承B
... class A:
... def test(self):
... super().test()
...
>>> class B:
... def test(self):
... print('from B')
...
>>> class C(A,B):
... pass
...
>>> c=C() # C.mro()结果为 [<class '__main__.C'>, <class '__main__.A'>, <class '__main__.B'>,<class ‘object'>]
>>> c.test()
from B
c.test()首先找到A下的test方法,执行super().test()会基于MRO列表当前所处的位置继续往后查找,然后在B中找到了test方法并执行。
关于在子类中重用父类功能的这两种方式,使用任何一种都可以,但是在最新的代码中还是推荐使用super()

六 组合
在一个类中以另外一个类的对象作为数据属性,称为类的组合。组合与继承都是用来解决代码的重用性问题。不同的是:继承是一种“是”的关系,比如老师是人、学生是人,当类之间有很多相同的之处,应该使用继承;而组合则是一种“有”的关系,比如老师有生日,老师有多门课程,当类之间有显著不同,并且较小的类是较大的类所需要的组件时,应该使用组合,如下示例
class Course:
def __init__(self,name,period,price):
self.name=name
self.period=period
self.price=price
def tell_info(self):
print('<%s %s %s>' %(self.name,self.period,self.price))
class Date:
def __init__(self,year,mon,day):
self.year=year
self.mon=mon
self.day=day
def tell_birth(self):
print('<%s-%s-%s>' %(self.year,self.mon,self.day))
class People:
school='清华大学'
def __init__(self,name,sex,age):
self.name=name
self.sex=sex
self.age=age
#Teacher类基于继承来重用People的代码,基于组合来重用Date类和Course类的代码
class Teacher(People): #老师是人
def __init__(self,name,sex,age,title,year,mon,day):
super().__init__(name,age,sex)
self.birth=Date(year,mon,day) #老师有生日
self.courses=[] #老师有课程,可以在实例化后,往该列表中添加Course类的对象
def teach(self):
print('%s is teaching' %self.name)
python=Course('python','3mons',3000.0)
linux=Course('linux','5mons',5000.0)
teacher1=Teacher('lili','female',28,'博士生导师',1990,3,23)
# teacher1有两门课程
teacher1.courses.append(python)
teacher1.courses.append(linux)
# 重用Date类的功能
teacher1.birth.tell_birth()
# 重用Course类的功能
for obj in teacher1.courses:
obj.tell_info()
此时对象teacher1集对象独有的属性、Teacher类中的内容、Course类中的内容于一身(都可以访问到),是一个高度整合的产物

来源:CSDN
作者:小猿取经
链接:https://blog.csdn.net/weixin_46032351/article/details/103628052