其他krylov子空间方法
1.krylov子空间
2.Krylov子空间与共轭梯度法的关系
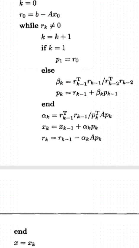
共轭梯度法版本0
共轭梯度法版本1
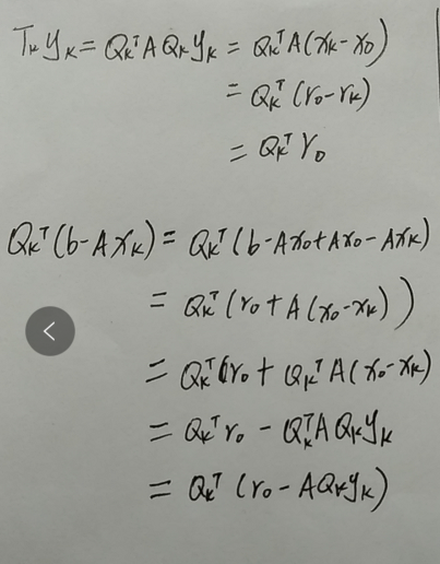
关于共轭梯度法的一个重要的性质
即初始残差与A以及迭代的次数k构成一个krylov子空间
3.法方程方法
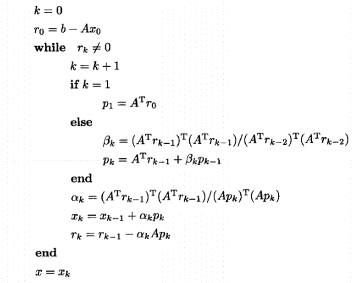
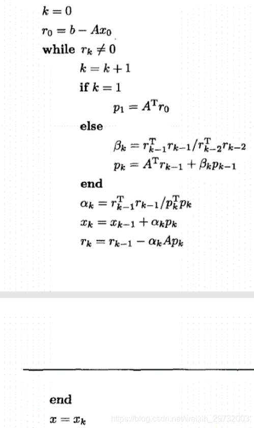
1.CGNR
Conjugated gradient normal square residual method
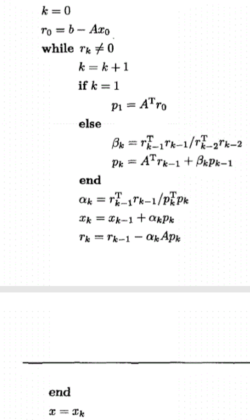
2.CGNE
E:error

由于矩阵的条件书变为原来的平方,收敛的速度变得比原来慢
重新描述算法


3.目标函数

已知对CGRE的问题是求解

4.共轭残量法
当矩阵A是对称正定时,他有一个对称正定的平方根





4.GMRES




Arnoldi过程的全部细节








5.BiCG


6.QMR

总结

来源:CSDN
作者:老李今天学习了吗
链接:https://blog.csdn.net/weixin_29732003/article/details/103642177