1.数理统计
数理统计基本知识

最大似然估计

最大似然估计(离散)

最大似然估计(连续)

最大似然估计举例

最大似然估计-多元

0-1分布

最大似然

2.线性回归与逻辑回归
再看线性回归

逻辑回归

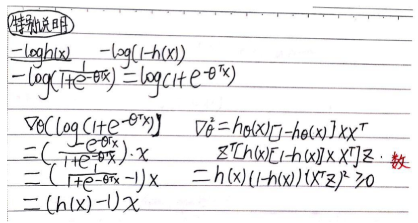
特别说明

3.贝叶斯的观点
再看贝叶斯公式

二项分布

Beta分布

贝叶斯估计举例

4.信息论概述
量化信息

离散

连续

KL散度(相对熵)

来源:CSDN
作者:LotusQ
链接:https://blog.csdn.net/qq_30057549/article/details/103655398