论文题目: DeepGBM: A Deep Learning Framework Distilled by GBDT for Online Prediction Tasks
论文地址: https://dl.acm.org/citation.cfm?id=3330858
论文发表于: KDD 2019
论文大体内容:
本文主要提出了DeepGBM模型,来整合NN与GBDT的优势,支持sparse特征和dense特征,并且是end2end的训练流程,也适用于online training。经过实验,该模型在常见的数据集(如Criteo等)上取得state-of-art的效果。
Motivation:
GBDT是传统的方法,对dense特征特别有效,目前也在工业届/比赛广泛使用,但是它不能很好处理sparse特征,而NN对sparse特征处理的特别好,如何将它们结合起来以取得更好的效果,是特别重要的。
Contribution:
本文作者提出DeepGBM模型,通过对sparse特征和dense特征分别使用2个不同的模型来处理,CatNN(任意处理sparse特征的模型,在这里直接使用DeepFM)来处理sparse特征,GBDT2NN(NN版GBDT)来处理dense特征,最后将两者结合以达到更好的效果;
1. DeepGBM的framework如下图,主要包含CatNN和GBDT2NN;
2. 这里的CatNN(DeepFM)的loss function;
3. GBDT2NN主要思想是要让NN模型得到如GBDT的效果,主要包含以下几项:
①每棵树使用的特征会直接用于NN模型,或者使用里面的Top Feature;
②最原始的Loss function如下,就是要让NN的结果接近GBDT的结果;
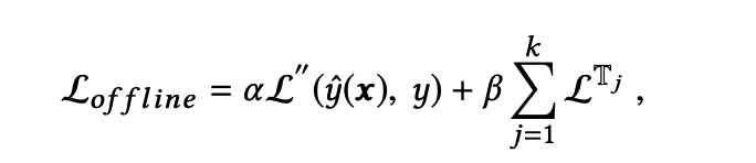
③由于树的叶子节点较多,作者为了高效,在叶子节点后面接一层FC,以减少节点数,来达到高效的目的,该方法被称为叶子编码蒸馏,其Loss function如下;

④扩展到多棵树上,使用了1个trick——随机Grouping,以更高效,其Loss function如下:
⑤输出结果则是多个Group相加;
4. 最后的predict结果则是将CatNN与GBDT2NN的输出线性加权;
5. 作者在offline实验的时候,加入了叶子编码蒸馏的loss,而online的时候去掉;

实验
6. Dataset
7. Baseline
LightGBM;
LR;
FM;
WDL;
DeepFM;
PNN;
CatNN+LightGBM;
GBDT2NN;
8. 实验结果

以上均为个人见解,因本人水平有限,如发现有所错漏,敬请指出,谢谢!
来源:CSDN
作者:John159151
链接:https://blog.csdn.net/John159151/article/details/103642744