基本概念
简单随机样本的两个特征:
代表性,
独立性
统计的任务:
根据从总体中抽取的样本, 去推断总体的性质
样本中的每一个值都属于一个随机变量
样本中的随机变量的特性: 代表性( 与所考察的总体有相同的分布 ) 和 独立性 ( 每一个都是相互独立的随机变量 )
样本的分布函数: 各个随机变量分布函数 的 连乘
分布率, 密度函数也是类似, (前提必须是: 独立 同分布)
两点分布的分布律:
统计量 和 样本矩
最终目的: 样本推断总体
需要对样本值进行一些 “加工” 需要构造一些样本的函数, 把样本中所包含的信息集中起来
统计量: 样本函数中不包含任何关于总体X的未知参数, 称这个 样本函数 就是一个统计量 (所以统计量还应该是随机变量)
估计量: 用于估计分布中参数的 统计量
常用的统计量
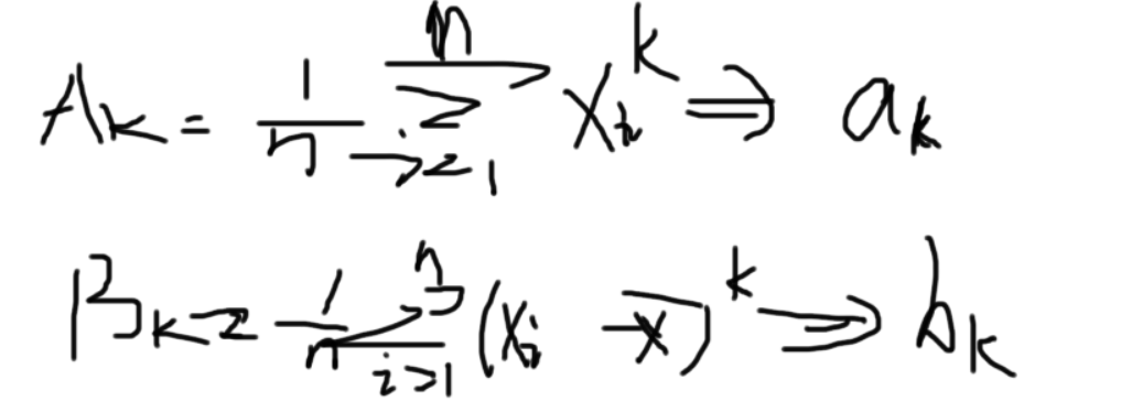
样本矩
样本均值, 样本方差, 修正样本方差(除以的是 n - 1), 样本标准差
样本的k阶原点矩, 样本的k阶中心矩
样本均值和修正样本方差期望 = 总体的均值和方差
无偏估计
经验分布函数
次序统计量, 次序统计量的分布
经验分布函数, 经验分布函数的性质
格里纹科定理
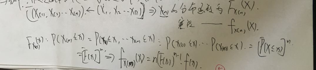
次序统计量
样本的观测值按照从小到大的排序进行排列 ( 统计量和观测值的下标要加上括号 )
注意:
次序统计量中排在最前面的是 最小次序统计量
次序统计量中排在最后面的是 最大次序统计量
统计量的顺序是受前一个统计量的影响而影响的, 所以统计量之间不是相互独立的
次序统计量的分布
最大次序统计量的密度函数: 分布函数F(X)的n次方, 对F(X)的求导 的结果
最小次序统计量的密度函数:
经验分布函数Fn(X)(Fn(X)函数不服从二项分布)
为样本值中不超过x的样本的个数在除以n

经验分布函数
均值: 本身
方差: 自己乘以(1 - 自己) 除以 n
格里纹科定理: 当n充分大的时候, Fn(X) 与总体分布函数相互等价
新钦定理: 当n充分大的时候, 样本的数学期望 与 总体的数学期望等价
充分统计量
数理统计 主要是利用样本信息推断总体的信息
如何 将样本中所包含的总体信息提取出来?
是否 将样本中所包含的总体信息 完全 提取出来
> 充分统计量: 描述总体信息是否被完全提取出来
统计量就是一个分布函数
当已知一个统计量 T = T(X1, X2, … , Xn)
- 观察值已知之后
- 其余样本的条件分布与参数 θ 无关
- 那么可以得出 这个统计量中包含了参数θ的全部信息 ( 体现了充分性 )
- 关于参数θ的统计推断, 我们只需要这个统计量T即可,
判别充分统计量的方法: 因子分解定理
连续型; 密度函数连乘
样本的联合密度函数可以分解为下面的:
离散型: 分布律连乘
统计量T是参数θ的充分统计量, 那么 我们在运用因式分解的时候, 构造T(X1,X2, … , Xn) 是构造成已知的T的形式(也就是题目中所要求的充分统计量)
h(x1, x2, x3, … , xn)可以是一个非负常函数
充分统计量的函数特性:
T是参数的一个充分统计量, f(t)是一个单值可逆函数, 则 f(T) 也是参数的充分统计量
充分统计量不唯一
完备统计量


指数型分布: 验证 充分完备统计量
对于连续型的变量:


这一部分表示求出结果也是ok的, 没有必要非要用求和符号
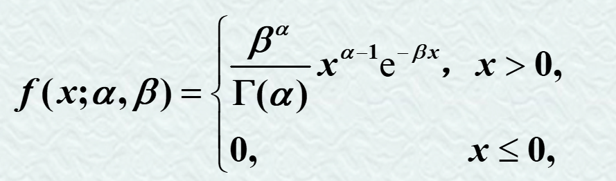
Gama分布

Gama: 因为Gama四个字母中没有e, 所以, Gema分布应该是在x, e之间的, e和罗马字符相配套.


卡方分布


的分布密度函数如下:



柯赫伦定理

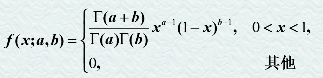
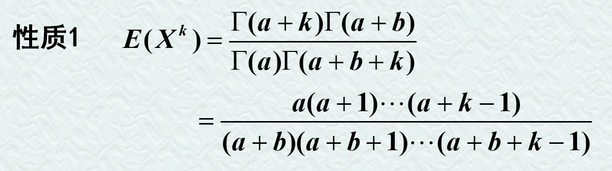
Beta分布



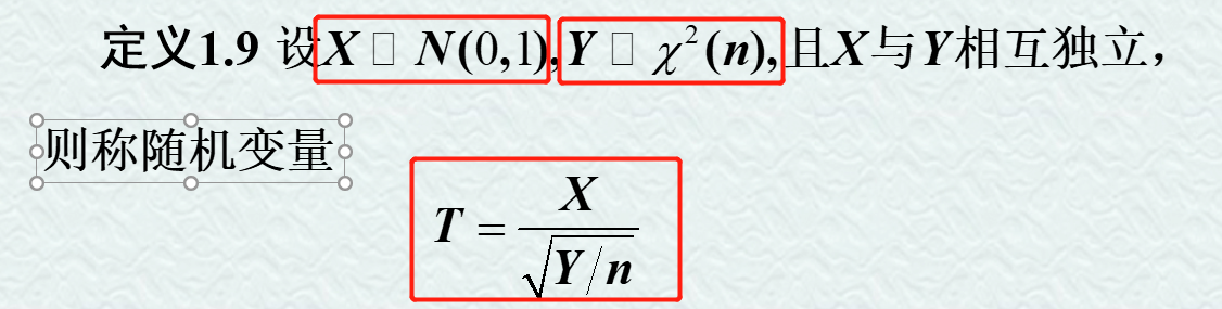
t分布

t分布关于 t = 0 轴对称
当n很大的时候, t分布近似于标准正态分布
当n很小的时候, t分布和标准正态分布相差很大
F分布






概率分布的分位数

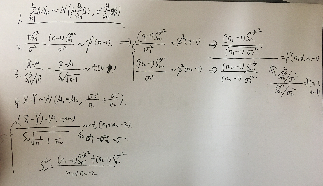
正态总体样本 均值 和 方差 的分布
- 单个总体样本 均值 的分布
- 单个总体样本 方差 的分布
- 单个总体修正样本 均方差 的分布:
- 两个正态总体样本均值差的分布
- 两个正态总体样本方差商的分布
单个总体均值的分布:
证明下面的内容 需要我们根据 多个随机变量求 数学期望和数学方差的来进行
单个总体方差的分布:
单个总体修正样本均方差的分布:
两个正态总体样本均值差的分布

两个正态总体样本方差商的分布
次序统计量及其分布
- 次序统计量是充分统计量
- 第k个次序统计量的分布: 如下图




次序统计量的样本中位数 (随机变量)
当n为奇数的时候, 样本中位数为 中间的统计量
当n为偶数的时候, 样本中位数为 中间两个的均值
其的观测值
次序统计量的样本极差
样本中, 最大的随机变量 - 最小的随机变量
即: 第n个次序统计量 - 第1个次序统计量
以上分布族总结:

常见的分布


对于离散型变量也有相类似的结论
联合充分完备统计量的求证: p12 例子1.10
充分统计量不唯一
不懂的例子: p9 例子1.6
来源:CSDN
作者:fengxuewei123
链接:https://blog.csdn.net/fengxuewei123/article/details/103605676











