1、点估计:矩估计法
2、区间估计:总体均值的区间估计、总体比例的区间估计、总体方差的区间估计、两个总体均值之差的区间估计、两个总体比例之差的区间估计、两个总体方差比的区间估计
3、样本量的确定:估计总体均值时样本量的确定、估计总体比例时样本量的确定
点估计和区间估计属于总体参数估计问题。
##一、点估计
####定义:
是用样本统计量来估计总体参数,因为样本统计量为数轴上某一点值,估计的结果也以一个点的数值表示,所以称为点估计。
####估计量:统计量的样本的(不含未知总体参数的)函数,用于估计的统计量
####估计值:若得到一组观察值,代入估计量得到具体的数值
例如,若总体分布服从正态分布: ,其中μ是总体均值, 是总体方差,未知参数可记为θ=(μ,σ)。σ/μ(μ≠0)称为变异系数,它是总体的一阶原点矩(即均值)μ与二阶中心矩(即方差) 的函数。设有样本X=(X1、X2…Xi),其一阶样本原点矩为,二阶样本中心矩为,而用估计 σ/μ,就是一个典型的矩估计方法。
###(1)最大似然估计法
此法作为一种重要而普遍的点估计法,由英国统计学家R.A.费希尔在1912年提出。后来在他1921年和1925年的工作中又加以发展。设样本X=(X1,X2,…,Xn)的分布密度为L(X,θ),若固定X而将L视为θ的函数,则称为似然函数,当X是简单随机样本时,它等于ƒ(X1,θ)ƒ(X2,θ)…ƒ(Xn,θ),其中,ƒ(X,θ)是总体分布的密度函数或概率函数(见概率分布)。一经得到样本值x,就确定x,然后使用估计g(θ),这就是g(θ)的最大似然估计。例如,不难证明,前面为估计正态分布 中的参数μ和 而提出的估计量和2,就是μ和 的最大似然估计。 [1]
###(2)最小二乘估计法
这个重要的估计方法是由德国数学家C.F.高斯在1799~1809年和法国数学家A.-M.勒让德在1806年提出,并由俄国数学家Α.Α.马尔可夫在1900年加以发展。它主要用于线性统计模型中的参数估计问题。贝叶斯估计法是基于“贝叶斯学派”的观点而提出的估计法(见贝叶斯统计)。
###(3)矩估计
定义:最简单的矩估计法是用一阶样本原点矩来估计总体的期望而用二阶样本中心矩来估计总体的方差。
##二、区间估计
####区间估计(interval estimate)是在点估计的基础上,给出总体参数估计的一个区间范围,该区间通常由样本统计量加减估计误差得到。
####置信度:重复构造置信区间,这些区间中包含总体参数真值得区间数所占的比率。
与点估计的区别:
进行区间估计时,根据样本统计量的抽样分布可以对样本统计量与总体参数的接近程度给出一个概率度量。
基本概念:置信系数
用数轴上的一段距离或一个数据区间,表示总体参数的可能范围.这一段距离或数据区间称为区间估计的置信区间。
1.每一个置信区间都是随机的,因样本不同二不同,不是所有的区间都包含总体参数的真值。
2.实际问题中,往往只取一个样本,得到一个置信区间。无法确定这个区间是否包含总体参数真值,只能希望它是大量包含了总体参数真值得区间中的一个。
###(1)总体均值的区间估计-正态总体,方差已知
总体均值的区间估计-大样本、方差
总体均值的区间估计-正态总体、方差未知
总体比例的区间估计
总体方差的区间估计
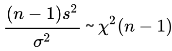
方差估计需要假设总体是服从正态分布的
已知:样本方差(改造一下后)服从自由度为n-1的卡方分布,即
。构建置信水平为1-α的置信区间的过程如下:
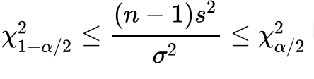
① 确定的1-α/2分位点和α/2分位点;
② 则
的置信度为1-α;
③ 转换一下,α^2的置信水平为1-α的置信区间为
。
两个总体均值之差的区间估计、
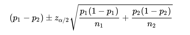
两个总体比例之差的区间估计:
跟单个总体的比例的区间估计很类似,总之,两个总体比例之差(\pi_1 - \pi_2)的置信水平为1-α的置信区间为
两个总体方差比的区间估计
3、样本量的确定:
估计总体均值时样本量的确定、
估计总体比例时样本量的确定
来源:CSDN
作者:weixin_45780620
链接:https://blog.csdn.net/weixin_45780620/article/details/103643162