文章目录
AVL 树引出
二叉搜索树虽可以缩短查找的效率,但如果数据有序或接近有序二叉搜索树将退化为单支树,查找元素相当于在顺序表中搜索元素,效率低下。因此,两位俄罗斯的数学家G.M.Adelson-Velskii和E.M.Landis在1962年发明了一种解决上述问题的方法:当向二叉搜索树中插入新结点后,如果能保证每个结点的左右子树高度之差的绝对值不超过1(需要对树中的结点进行调整),即可降低树的高度,从而减少平均搜索长度
一棵 AVL 树,或者是空树,或者具有以下性质的二叉搜索树
-
左子树和右子树都是 AVL 树
-
左右子树的高度差(也叫做平衡因子)绝对值不超过1(-1/0/1)
如果一棵二叉搜索树是高度平衡的就称它为 AVL 树,如果它有 n 个节点,它的高度为O(logN),查找的时间复杂度为O(logN)
AVL 树的定义
template<class T>
struct AVLTreeNode {
AVLTreeNode(const T& data = T())
: _pLeft(nullptr)
, _pRight(nullptr)
, _pParent(nullptr)
, _data(data)
, _bf(0)
{}
AVLTreeNode<T>* _pLeft;
AVLTreeNode<T>* _pRight;
AVLTreeNode<T>* _pParent;
T _data;
int _bf;
};
AVL 树的插入
AVL树就是在二叉搜索树的基础上引入了平衡因子,因此AVL树也可以看成是二叉搜索树
AVL树的插入过程可以分为两步:
-
按照二叉搜索树的方式插入新节点
-
调整节点的平衡因子
-
插入前平衡因子可能为 -1 0 1,插入后
-
如果插入到 pParent 左子树那么只需要将 pParent 的平衡因子 -1 得到的平衡因子可能为 -2 -1 0
-
如果插入到 pParent 右子树那么只需要将 pParent 的平衡因子 +1 得到的平衡因子可能为 0 1 2
- 根据平衡因子判断平衡性是否遭到破坏
-
如果插入后 pParent 的平衡因子为 0,说明插入之前是 -1 或 1,插入后平衡性没有遭到破坏,并且高度没有增加,此时满足 AVL 树性质
-
如果插入后 pParent 的平衡因子为 正负1,说明 插入之前是 0,插入后平衡性没有遭到破坏,但是高度增加了,此时应该继续向上更新平衡因子
-
如果插入后 pParent 的平衡因子为 正负2,插入后平衡性遭到破坏,应该对以 pParent 为根的树进行旋转处理
bool Insert(const T& key) {
//1. 先按照二叉搜索树的方式进行插入
//2. 调整平衡因子
//为空,直接插入
if (_pRoot == nullptr) {
_pRoot = new Node(key);
return true;
}
//不为空
//先找到待插入位置
Node* pCur = _pRoot;
Node* pParent = nullptr;
while (pCur) {
pParent = pCur;
if (key == pCur->_data)
return false;
else if (key < pCur->_data)
pCur = pCur->_pLeft;
else
pCur = pCur->_pRight;
}
//进行插入操作
Node* pNode = new Node(key);
if (key < pParent->_data) {
pParent->_pLeft = pNode;
pNode->_pParent = pParent;
}
else {
pParent->_pRight = pNode;
pNode->_pParent = pParent;
}
//调整平衡因子,并检测是否破坏平衡性
while (pParent) {
//如果插入到 pParent 左子树那么只需要将 pParent 的平衡因子 - 1
//如果插入到 pParent 右子树那么只需要将 pParent 的平衡因子 + 1
if (pNode == pParent->_pLeft)
pParent->_bf--;
else
pParent->_bf++;
if (pParent->_bf == 0) {
//如果插入后 pParent 的平衡因子为 0,说明插入之前是 - 1 或 1,插入后平衡性没有遭到破坏,
// 并且高度没有增加,此时满足 AVL 树性质
break;
}
else if (pParent->_bf == 1 || pParent->_bf == -1) {
//如果插入后 pParent 的平衡因子为 正负1,说明 插入之前是 0,插入后平衡性没有遭到破坏,
//但是高度增加了,此时应该继续向上更新平衡因子
pNode = pParent;
pParent = pNode->_pParent;
}
else {
//如果插入后 pParent 的平衡因子为 正负2,插入后平衡性遭到破坏
//应该对以 pParent 为根的树进行旋转处理
if (pParent->_bf == 2) {
//右子树高
if (pNode->_bf == 1) {
//插入位置为较高右子树的右侧 - 左单旋
_RotateL(pParent);
}
else {
//插入位置为较高右子树的左侧 - 右左单旋
_RotateRL(pParent);
}
} else {
//左子树高
if (pNode->_bf == -1) {
//插入位置为较高左子树的左侧 - 右单旋
_RotateR(pParent);
} else {
//插入位置为较高左子树的右侧 - 左右单旋
_RotateLR(pParent);
}
}
//旋转后更新 pParent 和 pNode 位置
//旋转后高度和插入前相同,因此旋转完直接退出,不用继续更新
pNode = pParent->_pParent;
pParent = pNode->_pParent;
break;
}
}
return true;
}
AVL 树的旋转(4种)
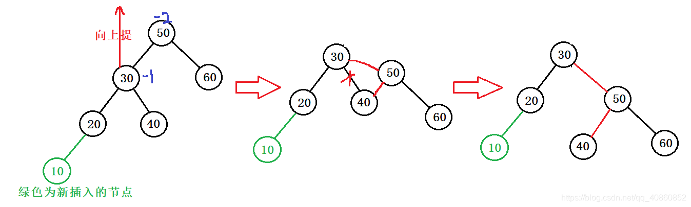
1. 新节点插入较高左子树的左侧—左左:右单旋

上图 插入前,AVL 树是平衡的,新节点 10 插入到20 的左子树中,20左子树增加了一层,以 50 为根的树平衡收到了破坏,因此需要让 50 左子树减少一层,右子树增加一层
即将 30 向上提,50 就会右旋下来,40 比 50小,因此就放在 50 的左子树,然后更新平衡因子即可
注意:
- 40 这个节点可能存在也可能不存在
- 新插入的节点可能位于 20 左侧,也可能位于右侧
- 50 这个节点可能是根节点,也可是子树,如果是根节点 更新完需要更新根节点
- 如果是子树,可能是左子树也可能是右子树
- 发生变动的平衡因子:pParent pLeft

void _RotateR(Node* pParent) {
//pSubL: pParent的左孩子
//pSubLR: pParent左孩子的右孩子
//pPPraent: pParent的双亲
Node* pSubL = pParent->_pLeft;
Node* pSubLR = pSubL->_pRight;
Node* pPParent = pParent->_pParent;
pSubL->_pRight = pParent;
pSubL->_pParent = pPParent;
pParent->_pParent = pSubL;
pParent->_pLeft = pSubLR;
//pSubLR可能为空
if (pSubLR)
pSubLR->_pParent = pParent;
if (pPParent == nullptr) {
//如果 pParent 是根节点
_pRoot = pSubL;
} else {
//如果 pParent 是子树,可能是左子树也可能是右子树
if (pPParent->_pLeft == pParent)
pPParent->_pLeft = pSubL;
else
pPParent->_pRight = pSubL;
}
//根据调整后的结构更新部分节点的平衡因子
pSubL->_bf = 0;
//pParent 的平衡因子不确定,可能为 0 也可能为 -1
if (pParent->_pRight == nullptr && pParent->_pLeft != nullptr)
pParent->_bf = -1;
else
pParent->_bf = 0;
}
2. 新节点插入较高右子树的右侧—右右:左单旋
情况类似于右单旋
void _RotateL(Node* pParent) {
//pSubR: pParent的右孩子
//pSubRL: pParent右孩子的左孩子
//pPPraent: pParent的双亲
Node* pSubR = pParent->_pRight;
Node* pSubRL = pSubR->_pLeft;
Node* pPParent = pParent->_pParent;
pSubR->_pLeft = pParent;
pSubR->_pParent = pPParent;
pParent->_pRight = pSubRL;
pParent->_pParent = pSubR;
//pSubRL可能为空
if (pSubRL)
pSubRL->_pParent = pParent;
if (pPParent == nullptr) {
//如果 pParent 是根节点
_pRoot = pSubR;
pSubR->_pParent = NULL;
} else {
//如果 pParent 是子树,可能是左子树也可能是右子树
if (pPParent->_pLeft == pParent)
pPParent->_pLeft = pSubR;
else
pPParent->_pRight = pSubR;
}
//pSubR 平衡因子一定是0
pSubR->_bf = 0;
//pParent 的平衡因子不确定,可能为 0 也可能为 -1
if (pParent->_pRight == nullptr && pParent->_pLeft != nullptr)
pParent->_bf = -1;
else
pParent->_bf = 0;
}
3. 新节点插入较高左子树的右侧—左右:先左单旋再右单旋

将双旋变成单旋后再旋转,即先对 30 进行左单旋,然后再对 50 进行右单旋,旋转完成后再考虑平衡因子的更新
void _RotateLR(Node* pParent) {
// 先进行左单旋
_RotateL(pParent->_pLeft);
// 再进行右单旋
_RotateR(pParent);
}
4. 新节点插入较高右子树的左侧—右左:先右单旋再左单旋

将双旋变成单旋后再旋转,即先对 40 进行右单旋,然后再对 20 进行左单旋,旋转完成后再考虑平衡因子的更新
void _RotateRL(Node* pParent) {
// 先进行右单旋
_RotateR(pParent->_pRight);
// 再进行左单旋
_RotateL(pParent);
}
AVL 树性能分析
AVL 树是一棵绝对平衡的二叉搜索树,其要求每个节点的左右子树高度差的绝对值都不超过 1,这样可以保证查询时高效的时间复杂度,即 O(logN)。但是如果要对 AVL 树做一些结构修改的操作,性能非常低下,比如:插入时为了要维护其绝对平衡,旋转的次数比较多
适用场景:如果需要一种查询高效且有序的数据结构,而且数据的个数为静态的(即不会改变),可以考虑AVL树,但一个结构经常修改,就不太适合
来源:https://blog.csdn.net/qq_40860852/article/details/99458605
