1 基本概念:在物理层提供的服务基础上,为网络层提供服务(无确定的无连接服务 有确定的有连接服务 有确定的无连接服务)
2 三个问题
封装成帧:在一段数据的前后分别添加首部和尾部,确定帧的界限

封装成帧的方法:字符计数法、字节填充的首尾界符法、比特填充的首尾标志法、物理编码违例法
透明传输:不论数据是什么样的比特组合,都应当能在链路上传输
字节填充的首尾界符法:若传输的数据是可打印的ASCII值(95位)时一切正常;如果除了可打印的ASCII值之外还有其他的字符则用如图方式进行填充(soh为十六进制的01,eot为十六进制的04,eot为十六进制的1b)

比特填充的首尾标志法:开始和结束的标志都为7e,只要数据帧检测到有 5 个连续的 ‘1’,便马上再其后面插入 ‘0’,而在接收方对该过程实施逆操作,即每次收到 5 个连续的 ‘1’,自动删除后面紧紧跟随的 ‘0’,以恢复数据
差错检验:在传输过程中可能会产生比特差错1变成0,0变 成1
误码率:在一段时间内,传输错误的比特数占总传输比特数的比率(与信噪比有很大关系)
差错检验的方法:奇偶校验码和循环冗余校验码(CRC)
其中一种循环冗余校验计算过程:发送端除数为n位,在被除数后面添加n-1位0,作除法运算,求的余数作为fcs(帧校验序列)添加在数据的后面作为冗余码;接收端用数据后面加上FCS除以除数,如果余数是0,则没有错误就接受,否则丢弃
特点:这种方法不知道哪一位或者哪几位出现了差错;只要经过严格的筛选,除数的位数合适,检查不到错误的概率就很小很小
3 使用点对点的数据链路层
ppp协议三个组成部分:数据链路层协议可以用于异步串形介质或者同步串形介质 使用LCP(链路控制协议)建立并维护数据链路层链接 网络控制协议(NCP)允许在点到点链接上使用多种网络层链接协议
网络控制协议(NCP)针对每一个网络层协议 链路控制协议(LCP)身份验证,计费功能 高级数据链路控制协议(HDLC)

使用场景:全世界使用最多的链路层协议为ppp(Point-to-Point Protocol)协议
ppp协议满足的要求

ppp协议帧格式
帧中的协议指明信息部分,fcs帧检验序列,标志字段f=0x7e,地址字段a=0xff实际不起什么作用,控制字段通常设置为c=0x03,ppp协议是面向字节的,所以ppp帧的长度都是整数字节

ppp协议为什么不纠错:出错的概率很小 数据链路层的可靠并不能保证网络层的可靠 fcs只保证无差错接受
ppp协议透明传输问题:当使用同步传输(连续的比特流)时,用比特填充法(连续五个1添加一个0);如果是异步传输采用特殊的字符填充法(遇到特殊字符在后面添加0x5E)
4 使用广播信道(以太网只要不是使用全双工就使用csma/cd协议举例)的数据链路层
最初的以太网:将许多计算机都链接到一根总线上,一台计算机与另一台计算机通讯,则数据包会被发送到每台计算机,通信的计算机可以判断数据包是否是发送给自己的以便接收;如果其他计算机安装了抓包工具则可以捕获数据包,所以不安全。
用集线器的以太网:总线上的每一个工作的计算机都能检测到B发送的数据信号。由于只有计算机D的地址与数据帧首部写入的地址一致,因此只有D才接收这个数据帧。其他所有的计算机(A,C和E)都检测到不是发送给它们的数据帧,因此就丢掉这个数据帧而不能接收下来。由于丢掉这个数据帧的功能利用广播信道实现了点到点通信
以太网协议:CSMA/CD(载波监听多点接入/碰撞检测)只能半双工通信
多点接入:许多计算机以多点接入方式链接到总线上
载波监听:每一个站在发送数据前先检测信道上是否有其他的站再发送数据,如果有就等待,以免发生碰撞
碰撞检测:计算机边发送数据边检测信道上的信号电压大小
检测到碰撞后:在发生碰撞后,信道上的信号产生了严重的失真,不能恢复出原始的数据 正在发送的数据的计算机一旦检测到了碰撞就立即停止发送数据,等一段时间(二进制指数类型退避算法)再发送
二进制指数类型退避算法:确定基本退避时间,一般是取争用期2抛;定义参数k,k = Min(重传次数 , 10);从整数集合[0,1,...,(2^k - 1)]中随机地取出一个数,即为 r。重传所需的时延就是 r 倍的基本退避时间 r(2抛) ;当重传达16次仍不能成功时即丢弃该帧,并向高层报告
以太网的争用期:以太网的端到端往返时延2抛称为争用期,或碰撞窗口。通常,取51.2微秒为争用期的长度;对于10Mb/s的以太网,在争用期内可发送512bit,即64字节;以太网在发送数据时,若前64字节未发生冲突,则后续的数据就不会发生冲突
以太网的最短有效帧长:如果发生冲突,则一定是在发送的前64字节之内;由于一检测到冲突就立即终止数据发送,这时已经发送出去的数据一定小于64字节;以太网规定了最短有效帧长为64字节,凡长度小于64字节的帧都是由于冲突而异常终止的无效帧;以太网的网线最长不能超过100m,否则影响冲突的检测
太网的信道利用率:a=t/T,其中T为帧本身的发送时间
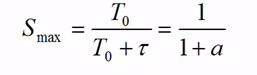
在理想化的情况下,以太网上的各站发送数据都不会产生碰撞(这显然已经不是 CSMA/CD,而是需要使用一种特殊的调度方法),即总线一旦空闲就有某一个站立即发送数据。
发送一帧占用线路的时间是 T0 + 抛,而帧本身的发送时间是T0。于是我们可计算出理想情况下的极限信道利用率Smax为:
MAC层(大多以太网使用的数据链路层中的一个子层,媒体防伪控制协议)
职责:在局域网中寻址;解决线路上的通信争用问题;封装和拆卸帧;比特流差错
分类:单播帧、广播帧、多播帧
MAC地址:地址为48位,前24位为厂家号,后24位为具体的网卡的地址
MAC帧


无效帧:帧的长度不是整数个字节 ;用收到的帧检验序列FCS查出有差错;有效的MAC帧长度在64~1518字节之间
最小的帧间隔:帧间最小间隔为9.6微秒,相当于96bit的发送时间,使刚刚收到数据帧的站的接收缓存来得及清理,做好接收下一帧的准备
扩展以太网
在物理层扩展:集线器级联使用网络的计算机数量增加,组建了一个大的冲突域,计算机数量增多,效率可能变低
优化以太网
在数据链路层优化:网桥(过滤功能,根据MAC帧的目的地址对收到的帧进行转发);交换机(端口带宽独享(100M交换机则每个端口都是100M)、安全、基于MAC地址转发、通过学习构建MAC地址表(转发数据就基于MAC地址表))
高速以太网:速率达到或超过100Mb/s的以太网,在双绞线上传送100Mb/s基带信号的星型拓扑以太网,仍使用IEEE 802.3 的CSMA/CD协议
100Base-T以太网的物理层:
100BASE-TX:使用 2 对UTP 5类线 或 屏蔽双绞线 STP
100BASE-FX:使用 2 对光纤
100BASE-T4:使用 4 对UTP 3类线 或 5类线
100Base-T的特点
可在全双工方式下工作而无冲突发生。因此,不使用CSMA/CD协议。
MAC帧格式仍然是802.3标准规定的。
保持最短帧长不变(64字节),但将一个网段的最大电缆长度减小到100m。
帧间时间间隔从原来的9.6微秒改为现在的0.96微秒。
Gbyte吉比特以太网
允许在1Gb/s下全双工和半双工两种方式工作。
使用802.3协议规定的帧格式。
在半双工方式下使用CSMA/CD协议(全双工方式不需要使用CSMA/CD协议)。
与10BASE-T和100BASE-T技术向后兼容。
当吉比特以太网工作在全双工方式时(即通信双方可同时进行发送和接收数据),不使用载波延伸和分组突发。
吉比特以太网的物理层
1000BASE-X 基于光纤通道的物理层
1000BASE-SX SX表示短波长 传输距离275或550米。
1000BASE-LX LX表示长波长 550米或5000米
1000BASE-CX CX表示铜线 传输距离25米
1000BASE-T
使用4对5类线 UTP(非屏蔽双绞线)
10吉(万兆)比特以太网
10吉比特以太网与10Mb/s、100Mb/s和1Gb/s以太网的帧格式完全相同。
10吉比特以太网还保留了802.3标准规定的以太网最小和最大帧长,便于升级。
10吉比特以太网不再使用铜线而使用光纤作为传输媒体。
10吉比特以太网只工作在全双工模式,因此没有争用问题,也不使用CSMA/CD协议。
端到端的以太网传输
10吉比特以太网的出现,以太网的工作范围已经从局域网(校园网、企业网)扩大到城域网和广域网,从而实现了端到端的以太网传输。
这种工作方式的好处:
成熟的技术
互操作性很好
在广域网中使用以太网时价格便宜
统一的帧格式简化了操作和管理
以太网从10Mb/s到10Gb/s的演进
以太网从10Mb/s到10Gb/s的演进证明了以太网是:
可扩展的(从10Mb/s到10Gb/s)
灵活的(多种传输媒体、全/半双工、共享/交换)
易于安装
稳健性好
使用高速以太网进行宽带接入
以太网已成功地把速率提高到1~10Gb/s,所覆盖的地理范围也扩展到了城域网和广域网,因此现在人们正在尝试使用以太网进行宽带接入。
以太网接入的重要特点是它可提供双向的宽带通信,并且可根据用户对带宽的需求灵活地进行带宽升级。
采用以太网接入可实现端到端的以太网传输,中间不需要再进行帧格式的转换。这就提高了数据的传输效率和降低了传输的成本。
来源:https://blog.csdn.net/qq_34007647/article/details/99399757