一、Redis简介
1.关于关系型数据库和nosql数据库
关系型数据库是基于关系表的数据库,最终会将数据持久化到磁盘上,而nosql数据 库是基于特殊的结构,并将数据存储到内存的数据库。从性能上而言,nosql数据库 要优于关系型数据库,从安全性上而言关系型数据库要优于nosql数据库,所以在实 际开发中一个项目中nosql和关系型数据库会一起使用,达到性能和安全性的双保证。
2.为什么要使用Redis
1、 redis简介
redis是Nosql数据库中使用较为广泛的非关系型内存数据库,redis内部是一个key-value存储系统。它支持存储的value类型相对更多,包括string(字符串)、list(链表)、set(集合)、zset(sorted
set –有序集合)和hash(哈希类型,类似于Java中的map)。Redis基于内存运行并支持持久化的NoSQL数据库,是当前最热门的NoSql数据库之一,也被人们称为数据结构服务器。
2、 互联网时代背景下大机遇,什么要使用Nosql?
1) 当数据量的总大小一个机器放不下时。
2) 数据索引一个机器的内存放不下时。
3) 访问量(读写混合)一个实例放不下时。
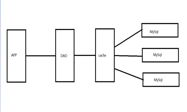
单机时代模型

如果每次存储成千上万条数据,这样很会导致MySQL的性能很差,存储以及读取速度很慢,然后就演变成缓存+mysql+垂直拆分的方式。

Cache作为中间缓存
将所有的数据先保存到缓存中,然后再存入mysql中,减小数据库压力,提高效率。
但是当数据再次增加到又一个量级,上面的方式也不能满足需求,由于数据库的写入压力增加,Memcached只能缓解数据库的读取压力。读写集中在一个数据库上让数据库不堪重负,大部分网站开始使用主从复制技术来达到读写分离,以提高读写性能和读库的可扩展性。Mysql的master-slave模式成为这个时候的网站标配了。

主从分离模式
在redis的高速缓存,MySQL的主从复制,读写分离的基础之上,这时MySQL主库的写压力开始出现瓶颈,而数据量的持续猛增,由于MyISAM使用表锁,在高并发下会出现严重的锁问题,大量的高并发MySQL应用开始使用InnoDB引擎代替MyISAM。

分表分库模式
将变化小的、业务相关的放在一个数据库,变化多的,不相关的数据放在一个数据库。
3、 nosql数据库的优势
1)易扩展
这些类型的数据存储不需要固定的模式,无需多余的操作就可以进行横向的扩展。相对于关系型数据库可以减少表和字段特别多的情况。也无型之间在架构的层面上带来了可扩展的能力
2)大数据量提高性能
3)多样灵活的数据模型
在nosql中不仅可以存储String,hash,set、Zset等数据类型,还可以保存javaBean以及多种复杂的数据类型。
4、 NoSql的应用
1) 大数据时代淘宝、微信、以及微博等都广泛的使用了redis数据库,将一些固定不变的数据例如学校,区域等固定的信息保存在关系型数据库中。然后对于经常变化的数据例如淘宝每个节日都会有比较热门的搜索显示在搜索框,当节日过去关键字自动删除,为了便于管理,可以将这些数据保存在redis数据库中,并设置过期时间,到达时间就自动删除。
2)为了缓解数据库压力,微博首先将发送的微博保存到redis数据库,自己可以立即查看到,然后将内存中的数据同步到关系型数据库。
3.redis在Linux上的安装
1)安装redis编译的c环境,yum install gcc-c++
2)将redis-2.6.16.tar.gz上传到Linux系统中
3)解压到/usr/local下 tar -xvf redis-2.6.16.tar.gz -C /usr/local
4)进入redis-2.6.16目录 使用make命令编译redis
5)在redis-2.6.16目录中 使用make PREFIX=/usr/local/redis install命令安装 redis到/usr/local/redis中
6)拷贝redis-2.6.16中的redis.conf到安装目录redis中
7)启动redis 在bin下执行命令redis-server redis.conf
8)如需远程连接redis,需配置redis端口6379在linux防火墙中开发
/sbin/iptables -I INPUT -p tcp --dport 6379 -j ACCEPT
/etc/rc.d/init.d/iptables save

启动后看到如上欢迎页面,但此窗口不能关闭,窗口关闭就认为redis也关闭了(类 似Tomcat通过bin下的startup.bat的方式)
解决方案:可以通过修改配置文件 配置redis后台启动,即服务器启动了但不会 穿件控制台窗口
将redis.conf文件中的daemonize从false修改成true表示后台启动
使用命令查看6379端口是否启动ps -ef | grep redis

二、使用java去操作Redis
1、单实例连接

2、如发现连接超时可以这样设置

3、连接池连接

三、Redis的常用命令
redis是一种高级的key-value的存储系统
其中的key是字符串类型,尽可能满足如下几点:
1)key不要太长,最好不要操作1024个字节,这不仅会消耗内存还会降低查找 效率
2)key不要太短,如果太短会降低key的可读性
3)在项目中,key最好有一个统一的命名规范(根据企业的需求)
其中value 支持五种数据类型:
1)字符串型 string
2)字符串列表 lists
3)字符串集合 sets
4)有序字符串集合 sorted sets
5)哈希类型 hashs
我们对Redis的学习,主要是对数据的存储,下面将来学习各种Redis的数据类型的 存储操作:
1.存储字符串string
字符串类型是Redis中最为基础的数据存储类型,它在Redis中是二进制安全的,这 便意味着该类型可以接受任何格式的数据,如JPEG图像数据或Json对象描述信息等。 在Redis中字符串类型的Value最多可以容纳的数据长度是512M

1)set key value:设定key持有指定的字符串value,如果该key存在则进行覆盖 操作。总是返回”OK”
2)get key:获取key的value。如果与该key关联的value不是String类型,redis 将返回错误信息,因为get命令只能用于获取String value;如果该key不存在,返 回null。

3)getset key value:先获取该key的值,然后在设置该key的值。

4)incr key:将指定的key的value原子性的递增1.如果该key不存在,其初始值 为0,在incr之后其值为1。如果value的值不能转成整型,如hello,该操作将执 行失败并返回相应的错误信息。
5)decr key:将指定的key的value原子性的递减1.如果该key不存在,其初始值 为0,在incr之后其值为-1。如果value的值不能转成整型,如hello,该操作将执 行失败并返回相应的错误信息。

6)incrby key increment:将指定的key的value原子性增加increment,如果该 key不存在,器初始值为0,在incrby之后,该值为increment。如果该值不能转成 整型,如hello则失败并返回错误信息
7)decrby key decrement:将指定的key的value原子性减少decrement,如果 该key不存在,器初始值为0,在decrby之后,该值为decrement。如果该值不能 转成整型,如hello则失败并返回错误信息


8)append key value:如果该key存在,则在原有的value后追加该值;如果该 key 不存在,则重新创建一个key/value
2.存储lists类型
在Redis中,List类型是按照插入顺序排序的字符串链表。和数据结构中的普通链表 一样,我们可以在其头部(left)和尾部(right)添加新的元素。在插入时,如果该键并不 存在,Redis将为该键创建一个新的链表。与此相反,如果链表中所有的元素均被移 除,那么该键也将会被从数据库中删除。List中可以包含的最大元素数量是 4294967295。
从元素插入和删除的效率视角来看,如果我们是在链表的两头插入或删除元素,这将 会是非常高效的操作,即使链表中已经存储了百万条记录,该操作也可以在常量时间 内完成。然而需要说明的是,如果元素插入或删除操作是作用于链表中间,那将会是 非常低效的。相信对于有良好数据结构基础的开发者而言,这一点并不难理解。

1)lpush key value1 value2...:在指定的key所关联的list的头部插入所有的 values,如果该key不存在,该命令在插入的之前创建一个与该key关联的空链 表,之后再向该链表的头部插入数据。插入成功,返回元素的个数。
2)rpush key value1、value2…:在该list的尾部添加元素
3)lrange key start end:获取链表中从start到end的元素的值,start、end可 为负数,若为-1则表示链表尾部的元素,-2则表示倒数第二个,依次类推…
4)lpushx key value:仅当参数中指定的key存在时(如果与key管理的list中没 有值时,则该key是不存在的)在指定的key所关联的list的头部插入value。
5)rpushx key value:在该list的尾部添加元素

6)lpop key:返回并弹出指定的key关联的链表中的第一个元素,即头部元素。
7)rpop key:从尾部弹出元素。


8)rpoplpush resource destination:将链表中的尾部元素弹出并添加到头部
9)llen key:返回指定的key关联的链表中的元素的数量。

10)lset key index value:设置链表中的index的脚标的元素值,0代表链表的头元 素,-1代表链表的尾元素。

11)lrem key count value:删除count个值为value的元素,如果count大于0,从头向尾遍历并删除count个值为value的元素,如果count小于0,则从尾向头遍历并删除。如果count等于0,则删除链表中所有等于value的元素。

12)linsert key before|after pivot value:在pivot元素前或者后插入value这个 元素。

3.存储sets类型
在Redis中,我们可以将Set类型看作为没有排序的字符集合,和List类型一样,我 们也可以在该类型的数据值上执行添加、删除或判断某一元素是否存在等操作。需要 说明的是,这些操作的时间是常量时间。Set可包含的最大元素数是4294967295。
和List类型不同的是,Set集合中不允许出现重复的元素。和List类型相比,Set类 型在功能上还存在着一个非常重要的特性,即在服务器端完成多个Sets之间的聚合计 算操作,如unions、intersections和differences。由于这些操作均在服务端完成, 因此效率极高,而且也节省了大量的网络IO开销

1)sadd key value1、value2…:向set中添加数据,如果该key的值已有则不会 重复添加
2)smembers key:获取set中所有的成员
3)scard key:获取set中成员的数量

4)sismember key member:判断参数中指定的成员是否在该set中,1表示存 在,0表示不存在或者该key本身就不存在
5)srem key member1、member2…:删除set中指定的成员

6)srandmember key:随机返回set中的一个成员

7)sdiff sdiff key1 key2:返回key1与key2中相差的成员,而且与key的顺序有 关。即返回差集。

8)sdiffstore destination key1 key2:将key1、key2相差的成员存储在 destination上

9)sinter key[key1,key2…]:返回交集。
10)sinterstore destination key1 key2:将返回的交集存储在destination上

11)sunion key1、key2:返回并集。

12)sunionstore destination key1 key2:将返回的并集存储在destination上

4.存储sortedset
Sorted-Sets和Sets类型极为相似,它们都是字符串的集合,都不允许重复的成员出 现在一个Set中。它们之间的主要差别是Sorted-Sets中的每一个成员都会有一个分 数(score)与之关联,Redis正是通过分数来为集合中的成员进行从小到大的排序。然 而需要额外指出的是,尽管Sorted-Sets中的成员必须是唯一的,但是分数(score) 却是可以重复的。
在Sorted-Set中添加、删除或更新一个成员都是非常快速的操作,其时间复杂度为 集合中成员数量的对数。由于Sorted-Sets中的成员在集合中的位置是有序的,因此, 即便是访问位于集合中部的成员也仍然是非常高效的。事实上,Redis所具有的这一 特征在很多其它类型的数据库中是很难实现的,换句话说,在该点上要想达到和Redis 同样的高效,在其它数据库中进行建模是非常困难的。
例如:游戏排名、微博热点话题等使用场景。

1)zadd key score member score2 member2 … :将所有成员以及该成员的 分数存放到sorted-set中
2)zcard key:获取集合中的成员数量

3)zcount key min max:获取分数在[min,max]之间的成员
zincrby key increment member:设置指定成员的增加的分数。
zrange key start end [withscores]:获取集合中脚标为start-end的成员,[withscores]参数表明返回的成员包含其分数。
zrangebyscore key min max [withscores] [limit offset count]:返回分数在[min,max]的成员并按照分数从低到高排序。[withscores]:显示分数;[limit offset count]:offset,表明从脚标为offset的元素开始并返回count个成员。
zrank key member:返回成员在集合中的位置。
zrem key member[member…]:移除集合中指定的成员,可以指定多个成员。
zscore key member:返回指定成员的分数
5.存储hash
Redis中的Hashes类型可以看成具有String Key和String Value的map容器。所 以该类型非常适合于存储值对象的信息。如Username、Password和Age等。如果 Hash中包含很少的字段,那么该类型的数据也将仅占用很少的磁盘空间。每一个Hash 可以存储4294967295个键值对。

1)hset key field value:为指定的key设定field/value对(键值对)。
2)hgetall key:获取key中的所有filed-vaule

3)hget key field:返回指定的key中的field的值

4)hmset key fields:设置key中的多个filed/value
5)hmget key fileds:获取key中的多个filed的值
6)hexists key field:判断指定的key中的filed是否存在
7)hlen key:获取key所包含的field的数量
8)hincrby key field increment:设置key中filed的值增加increment,如:age 增加20
来源:https://www.cnblogs.com/zhengxin95/p/9656818.html