https://blog.csdn.net/hrsstudy/article/details/70305791
You Only Look Once:Unified, Real-Time Object Detection
作者提出了一种新的物体检测方法YOLO。YOLO之前的物体检测方法主要是通过region proposal产生大量的可能包含待检测物体的 potential bounding box,再用分类器去判断每个 bounding box里是否包含有物体,以及物体所属类别的 probability或者 confidence,如R-CNN,Fast-R-CNN,Faster-R-CNN等。
YOLO不同于这些物体检测方法,它将物体检测任务当做一个regression问题来处理,使用一个神经网络,直接从一整张图像来预测出bounding box 的坐标、box中包含物体的置信度和物体的probabilities。因为YOLO的物体检测流程是在一个神经网络里完成的,所以可以end to end来优化物体检测性能。
YOLO检测物体的速度很快,标准版本的YOLO在Titan X 的 GPU 上能达到45 FPS。网络较小的版本Fast YOLO在保持mAP是之前的其他实时物体检测器的两倍的同时,检测速度可以达到155 FPS。
相较于其他的state-of-the-art 物体检测系统,YOLO在物体定位时更容易出错,但是在背景上预测出不存在的物体(false positives)的情况会少一些。而且,YOLO比DPM、R-CNN等物体检测系统能够学到更加抽象的物体的特征,这使得YOLO可以从真实图像领域迁移到其他领域,如艺术。
尽管YOLO有这些优点,它也有一些缺点:
1、YOLO的物体检测精度低于其他state-of-the-art的物体检测系统。
2、YOLO容易产生物体的定位错误。
3、YOLO对相互靠的很近的物体(挨在一起且中点都落在同一个格子上的情况),还有很小的群体 检测效果不好,这是因为一个网格中只预测了两个框,并且只属于一类。
4、测试图像中,当同一类物体出现的不常见的长宽比和其他情况时泛化能力偏弱
5、由于损失函数的问题,定位误差是影响检测效果的主要原因,尤其是大小物体的处理上,还有待加强。
Unified Detection

输入图像被分为S*S的小格子,如果物体的中心落在这个格子中,则这个格子负责检测这个物体。每一个栅格预测B个bounding boxes,以及这些bounding boxes的confidence scores。 这个 confidence scores反映了模型对于这个栅格的预测:该栅格是否含有物体,以及这个box的坐标预测的有多准。 (此处的confidence包含在每个box五个参数中)
公式定义如下:
如果这个栅格中不存在一个 object,则confidence score应该为0;否则的话,confidence score则为 predicted bounding box与 ground truth box之间的 IOU(intersection over union)。
每一个栅格还要预测C个 conditional class probability(条件类别概率):Pr(Classi|Object)。即在一个栅格包含一个Object的前提下,它属于某个类的概率。
我们只为每个栅格预测一组(C个)类概率,而不考虑框B的数量。
注意:
conditional class probability信息是针对每个网格的。
confidence信息是针对每个bounding box的。
在测试阶段,将每个栅格的conditional class probabilities与每个 bounding box的 confidence相乘:

这样既可得到每个bounding box的具体类别的confidence score。
这乘积既包含了bounding box中预测的class的 probability信息,也反映了bounding box是否含有Object和bounding box坐标的准确度。

Network Architecture

模型包含24个卷积层和两个全连接层(11的卷积降低了之前网络层的特征空间,并且能够进行跨通道信息整合,11的卷积在GoogleNet中为了降低参数的数量),Fast YOLO模型有更少的卷积层(9)和更少的过滤器。如下图:
实现了端到端的学习。
Training
首先利用ImageNet 1000-class的分类任务数据集Pretrain卷积层。使用上述网络中的前20 个卷积层,加上一个 average-pooling layer,最后加一个全连接层,作为 Pretrain 的网络。训练大约一周的时间,使得在ImageNet 2012的验证数据集Top-5的精度达到 88%,这个结果跟 GoogleNet 的效果相当。
将Pretrain的结果的前20层卷积层应用到Detection中,并加入剩下的4个卷积层及2个全连接。
同时为了获取更精细化的结果,将输入图像的分辨率由 224 224 提升到 448 448**。
将所有的预测结果都归一化到 0~1, 使用 Leaky RELU 作为激活函数。
为了防止过拟合,在第一个全连接层后面接了一个 ratio=0.5 的 Dropout 层。
为了提高精度,对原始图像做数据增广。
Loss Function
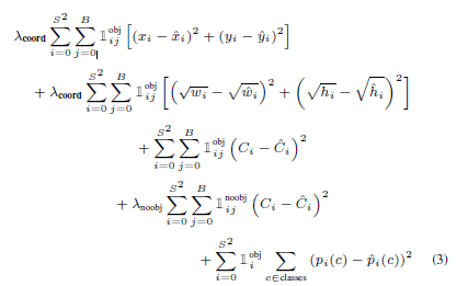
损失函数的设计目标就是让坐标(x,y,w,h),confidence,classification 这个三个方面达到很好的平衡。
简单的全部采用了sum-squared error loss来做这件事会有以下不足:
a) 8维的localization error和20维的classification error同等重要显然是不合理的。
b) 如果一些栅格中没有object(一幅图中这种栅格很多),那么就会将这些栅格中的bounding box的confidence 置为0,相比于较少的有object的栅格,这些不包含物体的栅格对梯度更新的贡献会远大于包含物体的栅格对梯度更新的贡献,这会导致网络不稳定甚至发散。


解决方案如下:
更重视8维的坐标预测,给这些损失前面赋予更大的loss weight, 记为 λcoord ,在pascal VOC训练中取5。(上图蓝色框)
对没有object的bbox的confidence loss,赋予小的loss weight,记为 λnoobj ,在pascal VOC训练中取0.5。(上图橙色框)
有object的bbox的confidence loss (上图红色框) 和类别的loss (上图紫色框)的loss weight正常取1。
对不同大小的bbox预测中,相比于大bbox预测偏一点,小box预测偏相同的尺寸对IOU的影响更大。而sum-square error loss中对同样的偏移loss是一样。
为了缓和这个问题,作者用了一个巧妙的办法,就是将box的width和height取平方根代替原本的height和width。 如下图:small bbox的横轴值较小,发生偏移时,反应到y轴上的loss(下图绿色)比big box(下图红色)要大。
在 YOLO中,每个栅格预测多个bounding box,但在网络模型的训练中,希望每一个物体最后由一个bounding box predictor来负责预测。
因此,当前哪一个predictor预测的bounding box与ground truth box的IOU最大,这个 predictor就负责 predict object。
这会使得每个predictor可以专门的负责特定的物体检测。随着训练的进行,每一个 predictor对特定的物体尺寸、长宽比的物体的类别的预测会越来越好。
测试

得到每个bbox的class-specific confidence score以后,设置阈值,滤掉得分低的boxes,对保留的boxes进行NMS处理,就得到最终的检测结果。
NMS
https://www.youtube.com/watch?v=L0tzmv–CGY








来源:CSDN
作者:Fight_Bro
链接:https://blog.csdn.net/qq_37988883/article/details/103601024