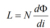
我们知道,一个匝数为n,通过电流为i的线圈可能出现自感(self-inductance)
当通过线圈的电流不变时,穿过线圈的磁场也不会变,当电流随时间变化时,会有一个感应电动势出现来抵抗电流的变化,这种现象就叫做自感,对应的感应电动势则叫做自感电动势(self-induced emf),表达式为

对应的自感为

一个线圈可以产生自感,多个线圈之间则可能出现互感,这也是磁耦合电路的基础原理
文章目录
1. 互感
互感是一个电感在另一个相邻的电感内诱发电压的能力,单位为H,这始终是个正值
想象两个靠在一起的线圈,线圈1中的磁感线同样会穿过线圈2,如图所示
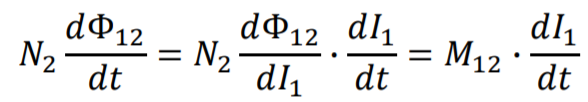
我们称这两个线圈共享的磁通量为,如果随时间改变线圈1的电流,就会变化,线圈2则会产生一个感应电动势:
这个感应电动势会随着线圈1中电流的变化而变化,关系为
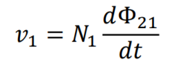
同样的,在线圈1中也会产生一个感应电动势:
这个电动势也会随着线圈2中电流的变化而变化
他们的互感系数
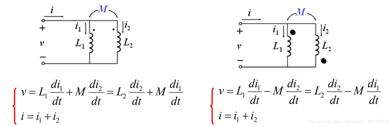
互感只出现在线圈或电感相邻,且被时变电源驱动的电路内,用来标识互感的符号为M,如下图所示
1.2 互感的影响因素
互感的会被线圈数,线圈直径,磁芯材料等影响
1.3 自感和互感电压的组合
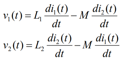
处于同一个回路中的两个线圈会同时发生自感和互感,先看只有一个线圈中有变化电流的情况
可以看到只有左边的线圈有电流,因此在左边的线圈中产生了自感电动势,在右边的线圈中产生了互感电动势
再来看两边的线圈都通电流的情况

由于右边多出的电流,右边线圈产生了自感电动势,而左边的线圈则多出了一个互感电动势
这里我们看到的是两个线圈产生的电压方向相同时的电动势,如果改变其中一边的电流方向,形成反向的电压,情况又会不一样了


可以看到,电流反向后,总电动势从原来的自感和互感相加变成了相减
2. 同名端
通常在电路图中,我们不会详细画图来表现线圈缠绕的方向,而是通过标注同名端的方式来表现这一特性
如果两个线圈的同名端在同一边,那么他们就会在对方的线圈内产生正的感应电动势,反之则产生负的感应电动势,如图:
可以看到,左上角和右下角的图中,同名端所处的边相同,因此产生正的感应电动势
另外两张图同名端不在一处,因此产生负的感应电动势
2.1 标识同名端

我们可以通过判断感应电动势的方向来标识同名端,如上图,根据右手螺旋定则,我们可以注意到当电流从标识点处流入时,产生的感应电动势方向相同,因此他们的同名端在同一处。
可以总结为,电流从哪组端口流入能与对方产生相同方向的感应电动势,则标记这一组端口
2.2 时域与频域
2.2.3 时域电路及感应电动势

2.2.4 频域电路及感应电动势

可以看到频域中原本时间的参数变成了频率
2.3 串联耦合线圈
对于两个串联的线圈,我们仍然有办法标注他们的同名端,示意如下
图中两个线圈的同名端都位于线圈左侧,因此他们产生的互感电动势会与自感电动势相加
如果线圈的同名端不在同一侧,则互感电动势会与自感相减
这里的互感系数可以通过将两种电感相减来计算
2.4 并联耦合线圈

3. 频域上的分析

如图是一个时域上的互感电路,电感的自感分别为4H和5H,互感为2.5H
根据电压的表达式,我们可以得到这个电压的振幅为60,相位为,频率
根据电感的阻抗公式,我们可以得到电感的自感电阻和互感电阻
根据电容的阻抗公式,我们可以得到电容的等效电阻
转化过程如下:
最后得到频域电路为

互感电阻在做KVL时视为两个分别串联在两侧电路内的电阻
4. 耦合电路中的能量
假设两个相邻的线圈,如图所示
在两边电流都为0的时候,没有任何能量被储存
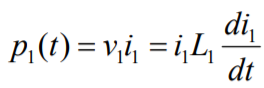
现在,我们将从0增加到,右边电流仍然保持为0,此时线圈1的功率为
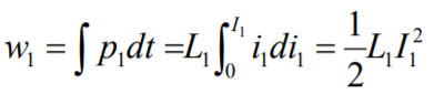
将其对时间积分,得到线圈中储存的能量
注意这里由于线圈2中还没有电流,所以即使产生了互感电动势,也没有存储任何能量
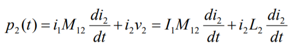
接着,保持,将右边的电流从0增大到,这会在线圈1侧产生一个互感电动势,由于不变,线圈2侧不会有互感电动势,因此,两个线圈此时的功率为:

即左边的电流乘上互感电动势,加上右边的电流乘上自感电动势
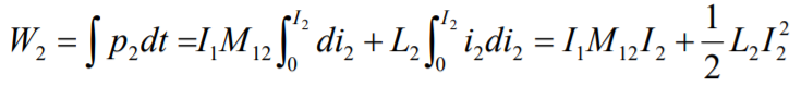
对时间积分,得到储存的能量
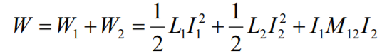
这样一来,总的存储的能量就等于增加时存储的和增加时存储的,表达为

通过计算,我们可以发现,即使逆反和增加的顺序,最终存储的总能量也是相同的
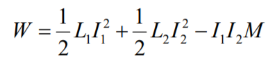
这是在两个电流产生同向电动势时的结果,如果改变其中一方输入电流的方向,最终存储的能量为

因此,计算耦合电路能量的一个更加广义的表达式为:
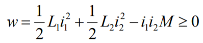
4.1 计算互感的上限
我们知道,一个无源电路的能量不能是负的,因此可以得到不等式
经过计算,可以知道M的上限
4.2 耦合系数
磁耦合电路的耦合系数k可以通过实际的互感与理论上的互感最大值之比来计算
如果一个线圈产生的通量完全穿过另一个线圈,此时,我们称其为全耦合(perfectly coupled)
如果,称其为松散耦合(loosely coupled)
如果,称其为紧密耦合(tightly coupled)
5. 变压器
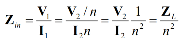
5.1 输入阻抗
变压器的输入阻抗是输入的电压除以输入侧的电流
通常我们用KVL来计算输入阻抗
5.2 理想变压器
全耦合的变压器被称为理想变压器,包含电源的那一圈线路通常被称为主线圈(primary),另一个包含负载的线路则被称为副线圈(secondary)
假设主线圈缠绕圈数为,副线圈为
副线圈圈数与主线圈圈数的比值n被称为匝数比(turns ratio)
5.2.1 极性

从上图可以看出,当两个变压器的同名端位于同一侧时,他们极性相同,具有电压方向始终相同
当极性相反时,电压方向始终相反
电压方向的异同与电流无关
5.2.3 反射阻抗
根据主线圈和副线圈之间的关系,我们可以用副线圈的电压和电流来替代主线圈的电压和电流,从而得到反射阻抗,过程如下:
5.2.4 最大传输功率
假设交流源的内阻为,负载电阻为,则当时变压器可以达到最大传输功率,此时的状态也被称为阻抗匹配
来源:CSDN
作者:无机肥料
链接:https://blog.csdn.net/weixin_44123999/article/details/103621727