《Dataminingguide》书阅读,第二章 推荐系统入门
1、 曼哈顿距离
最简单的距离计算方式。在二维计算模型中,每个人都可以用(X,Y)的点来表示。例如(X1,Y1)来表示艾米,(X2,Y2)来表示另一位人,那么他们之间的曼哈顿距离就是:
|X1-X2|+|Y1-Y2|
也就是x之差的绝对值加上y之差的绝对值。
曼哈顿距离的优点之一就是计算速度快,对于Facebook这样需要计算百万用户之间的相似度时就非常有利。
2、 欧几里得距离
还是用(X,Y)来表示一个人,那么两个人之间的距离就是:
在计算两个用户之间的相似度距离时,只取双方都评价过的商品。
曼哈顿距离和欧几里得距离在 数据完整 的情况下效果最好。
3、闵克夫斯基距离
可以将曼哈顿距离和欧几里得距离归纳成一个公式,这个公式称为闵可夫斯基距离:

R值越大,单个维度的差值大小会对整体距离有更大的影响。
4、 皮尔逊相关系数
分数膨胀:例如用户对乐队的评分,可以发现每个用户的打分标准非常不同,A的4分相当于B的4分还是5分?
解决方法之一就是使用皮尔逊相关系数。
皮尔森相关系数用于衡量两个变量之间的相关性,它的值在-1到1之间,1表示完全吻合,-1表示完全相悖。
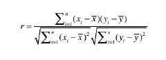
皮尔逊相关系数的计算公式是:

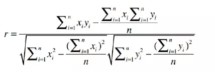
上面的公式除了看起来比较复杂,另一个问题是要获得计算结果必须对数据做多次便利,好在有另外一个公式,能够计算皮尔逊相关系数的近似值:

这个公式看起来更加复杂,而且计算结果不太稳定,有一定误差存在,但是最大的有点是用代码实现的时候可以只遍历一次数据。
事实上,皮尔逊相关系数就是我们在进行相关性分析时用的公式
5、 余弦相似度
余弦相似度的计算中会略过这些非零值。它的计算公式是:

举个例子:

总结
该选择哪种相似度计算: 如果数据存在“分数膨胀”,就是用皮尔逊相关系数。
如果数据之间比较“密集”,数据比较完整,变量之间基本存在公有值,且这些距离数据是非常重要的,那就使用欧几里得或曼哈顿距离。
(空缺值处理:用0代替空缺值的方法可能会造成较大误差,“平均值”填充效果好于0值填充)
如果数据是稀疏的,则使用余弦相似度。
作者:花生花二三说
链接:https://www.jianshu.com/p/67f8bd5fc7ad
来源:简书
著作权归作者所有。商业转载请联系作者获得授权,非商业转载请注明出处。
来源:CSDN
作者:photographyCat
链接:https://blog.csdn.net/lx529068450/article/details/103627018