SVM之优化问题

ぃ、小莉子 提交于 2019-12-20 00:51:03

今天结合着人工智能课讲的SVM,相当于是又复习了一遍SVM,果然丝滑顺畅了许多,虽然许多细节问题还是不甚解,但是那都是需要下一步的计划才能解决的问题了,现在的知识再加上专项问题和实战,应该够用了,多多复习。

1.SVM建模

线性分类器和最优线性分类器

在这里插入图片描述

点到超平面的距离

在这里插入图片描述

SVM目标函数

在这里插入图片描述

简化目标函数

在这里插入图片描述
在这里插入图片描述

2.SVM求解之对偶问题

QP问题

在这里插入图片描述
在这里插入图片描述

SVM对偶问题

在这里插入图片描述

KKT

在这里插入图片描述

SVM最终步骤

在这里插入图片描述

SMO求解λ*

在这里插入图片描述

3.SVM扩展

软间隔

在这里插入图片描述

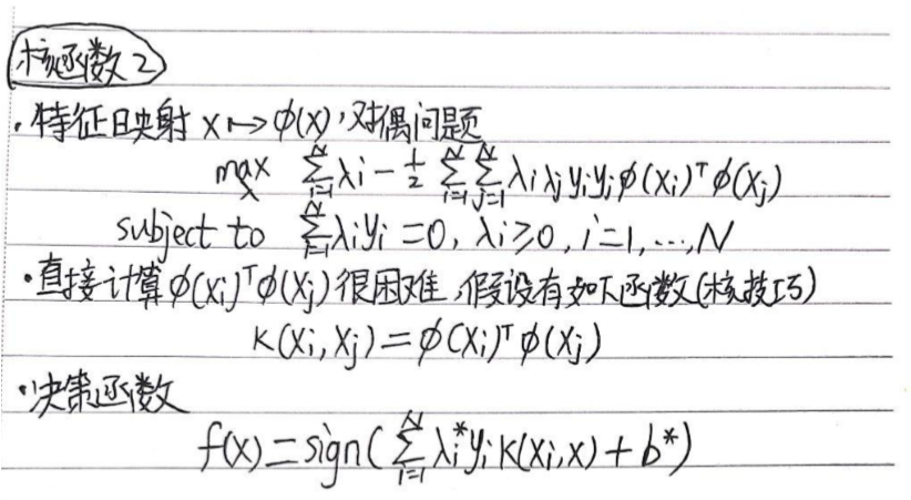
核函数

在这里插入图片描述
在这里插入图片描述
在这里插入图片描述

标签
易学教程内所有资源均来自网络或用户发布的内容,如有违反法律规定的内容欢迎反馈
该文章没有解决你所遇到的问题?点击提问,说说你的问题,让更多的人一起探讨吧!