根据曲线曲率计算该曲率(曲线图)的积分

时光毁灭记忆、已成空白 提交于 2019-12-19 15:07:20

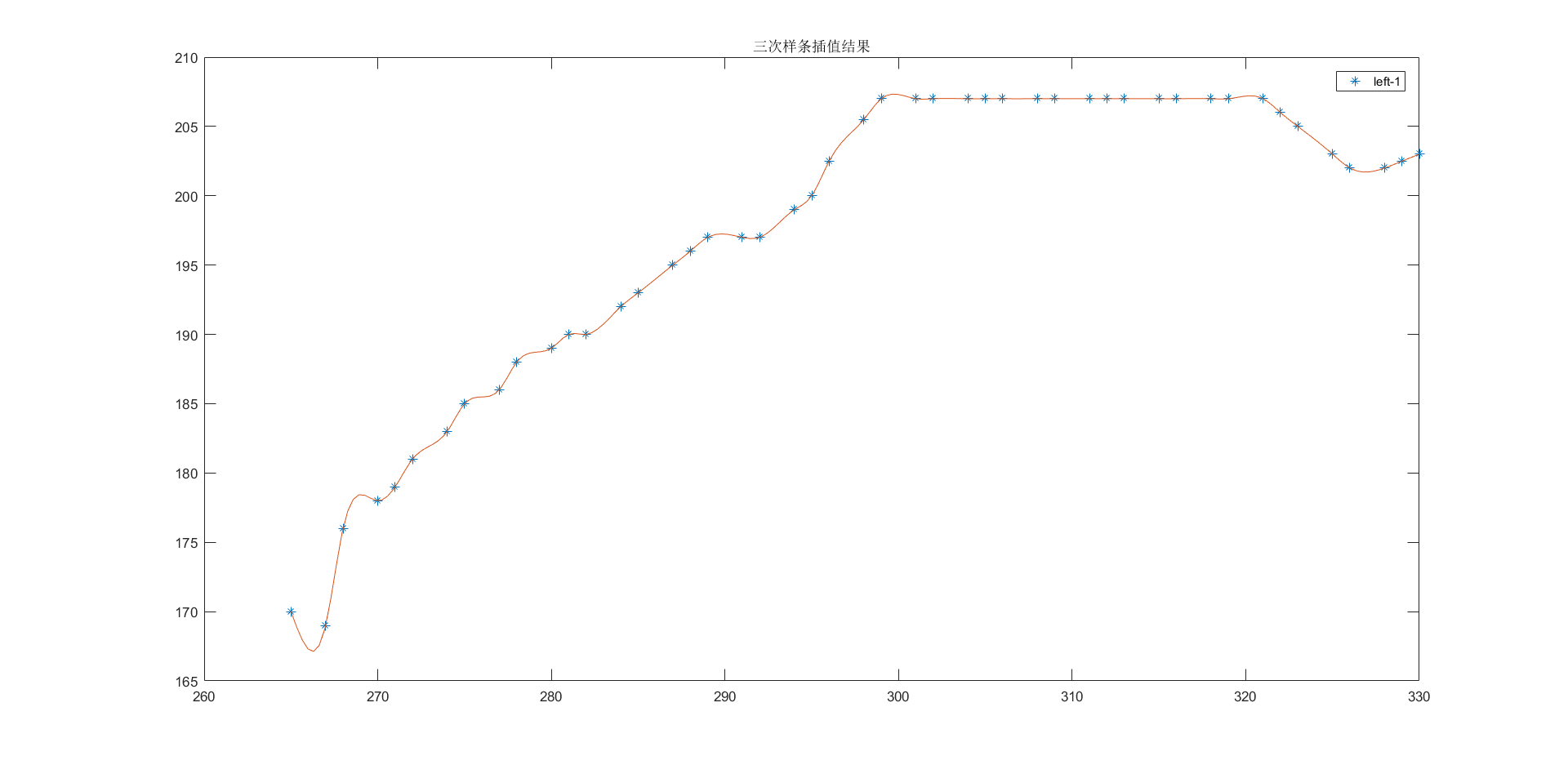
已知轮廓曲线的离散点坐标,根据三次样条插值算法得到了插值曲线,然后根据曲率计算公式得到了曲线曲率。现在需要将已知的曲线曲率作为输入(自变量),求曲率的积分,并画出积分后的曲线。小白前来请教各位大佬,谢谢
ps:图一是插值曲线图,图二是曲线曲率图

标签
易学教程内所有资源均来自网络或用户发布的内容,如有违反法律规定的内容欢迎反馈
该文章没有解决你所遇到的问题?点击提问,说说你的问题,让更多的人一起探讨吧!