数据结构——基于邻接矩阵存储的图的深度优先遍历和广度优先遍历

对着背影说爱祢 提交于 2019-12-15 17:59:50

图的存储结构相比较线性表与树来说就复杂很多,对于线性表来说,是一对一的关系,所以用数组或者链表均可简单存放。树结构是一对多的关系,所以我们要将数组和链表的特性结合在一起才能更好的存放。

那么我们的图,是多对多的情况,另外图上的任何一个顶点都可以被看作是第一个顶点,任一顶点的邻接点之间也不存在次序关系。

仔细观察以下几张图,然后深刻领悟一下:

 

 

因为任意两个顶点之间都可能存在联系,因此无法以数据元素在内存中的物理位置来表示元素之间的关系(内存物理位置是线性的,图的元素关系是平面的)。

如果用多重链表来描述倒是可以做到,但在几节课前的树章节我们已经讨论过,纯粹用多重链表导致的浪费是无法想像的(如果各个顶点的度数相差太大,就会造成巨大的浪费)。

 

邻接矩阵(无向图)

考虑到图是由顶点和边或弧两部分组成,合在一起比较困难,那就很自然地考虑到分为两个结构来分别存储。

顶点因为不区分大小、主次,所以用一个一维数组来存储是狠不错的选择。

而边或弧由于是顶点与顶点之间的关系,一维数组肯定就搞不定了,那我们不妨考虑用一个二维数组来存储。

 

图的邻接矩阵(Adjacency Matrix)存储方式是用两个数组来表示图。一个一维数组存储图中顶点信息,一个二维数组(称为邻接矩阵)存储图中的边或弧的信息。

 

我们可以设置两个数组,顶点数组为vertex[4]={V0,V1,V2,V3},边数组arc[4][4]为对称矩阵(0表示不存在顶点间的边,1表示顶点间存在边)。

 

对称矩阵:所谓对称矩阵就是n阶矩阵的元满足a[i][j]=a[j][i](0<=i,j<=n)。即从矩阵的左上角到右下角的主对角线为轴,右上角的元与左下角相对应的元全都是相等的。

有了这个二维数组组成的对称矩阵,我们就可以很容易地知道图中的信息:

  1. 要判定任意两顶点是否有边无边就非常容易了;
  2. 要知道某个顶点的度,其实就是这个顶点Vi在邻接矩阵中第i行(或第i列)的元素之和;
  3. 求顶点Vi的所有邻接点就是将矩阵中第i行元素扫描一遍,arc[i][j]为1就是邻接点咯。

 

邻接矩阵(有向图)

无向图的边构成了一个对称矩阵,貌似浪费了一半的空间,那如果是有向图来存放,会不会把资源都利用得很好呢?

 

可见顶点数组vertex[4]={V0,V1,V2,V3},弧数组arc[4][4]也是一个矩阵,但因为是有向图,所以这个矩阵并不对称,例如由V1到V0有弧,得到arc[1][0]=1,而V0到V1没有弧,因此arc[0][1]=0。

另外有向图是有讲究的,要考虑入度和出度,顶点V1的入度为1,正好是第V1列的各数之和,顶点V1的出度为2,正好是第V1行的各数之和。

 

邻接矩阵(网)

在图的术语中,我们提到了网这个概念,事实上也就是每条边上带有权的图就叫网。

 

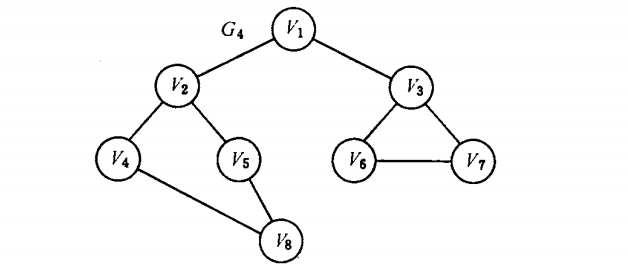
下面以此无向图为例,使用邻接矩阵存储,并实现深度优先遍历和广度优先遍历:

代码如下:

#include <stdio.h>

#define MaxVex        100            //最大顶点数
#define INFINITY    65535        //表示∞
#define TRUE        1
#define    FALSE        0
typedef char        VertexType;    //顶点类型
typedef    int            EdgeType;    //权值类型
typedef int            Bool;
Bool    visited[MaxVex];

typedef struct {
    VertexType    vexs[MaxVex];            //顶点数组
    EdgeType    arc[MaxVex][MaxVex];    //邻接矩阵
    int    numVertexes, numEdges;            //当前图中的结点数以及边数
}MGraph;


//广度优先遍历需要的循环队列
typedef struct {
    int    data[MaxVex];
    int    front, rear;
}Queue;


/****************************************/
//队列的相关操作

//初始化
void InitQueue(Queue *Q)
{
    Q->front = Q->rear = 0;
}

//入队
void EnQueue(Queue *Q, int e)
{
    if ((Q->rear+1)%MaxVex == Q->front)
        return ;

    Q->data[Q->rear] = e;
    Q->rear = (Q->rear+1)%MaxVex;
}

//判空
Bool QueueEmpty(Queue *Q)
{
    if (Q->front == Q->rear)
        return TRUE;
    else
        return FALSE;
}

//出队
void DeQueue(Queue *Q, int *e)
{
    if (Q->front == Q->rear)
        return ;
    
    *e = Q->data[Q->front];
    Q->front = (Q->front+1)%MaxVex;
}
/****************************************/


//建立图的邻接矩阵
void CreateMGraph(MGraph *G)
{
    int i, j, k, w;

    printf("输入顶点数和边数: ");
    scanf("%d%d", &G->numVertexes,&G->numEdges);
    fflush(stdin);

    printf("==============================\n");
    printf("输入各个顶点:\n");
    for (i=0; i<G->numVertexes; ++i)
    {
        printf("顶点%d: ",i+1);
        scanf("%c", &G->vexs[i]);
        fflush(stdin);
    }

    for (i=0; i<G->numVertexes; ++i)
    {
        for (j=0; j<G->numVertexes; ++j)
            G->arc[i][j] = INFINITY;
    }

    printf("==============================\n");
    for (k=0; k<G->numEdges; ++k)
    {
        printf("输入边(vi, vj)中的下标i和j和权W: ");
        scanf("%d%d%d", &i,&j,&w);
        G->arc[i][j] = w;
        G->arc[j][i] = G->arc[i][j];
    }
}


//输出
void DisMGraph(MGraph *G)
{
    int i, j, k;
    k = G->numVertexes;
    for (i=0; i<k; ++i)
    {
        for (j=0; j<k; ++j)
        {
            printf("%5d ", G->arc[i][j]);
        }
        putchar('\n');
    }
}


/****************************************/
//图的深度优先遍历
void DFS(MGraph G, int i)
{
    int j;
    visited[i] = TRUE;
    printf("%c ",    G.vexs[i]);

    for (j=0; j<G.numVertexes; ++j)
    {
        if (G.arc[i][j]!=INFINITY  &&  !visited[j])
            DFS(G, j);
    }
}

void DFSTraverse(MGraph G)
{
    int i;
    for (i=0; i<G.numVertexes; ++i)
        visited[i] = FALSE;

    for (i=0; i<G.numVertexes; ++i)
    {
        if (!visited[i])
            DFS(G, i);
    }

}


//图的广度优先遍历
void BFSTraverse(MGraph *G)
{
    int i, j;
    Queue Q;

    for (i=0; i<G->numVertexes; ++i)
        visited[i] = FALSE;

    InitQueue(&Q);

    for (i=0; i<G->numVertexes; ++i)
    {
        if (!visited[i])
        {
            visited[i] = TRUE;
            printf("%c ", G->vexs[i]);
            EnQueue(&Q, i);

            while (!QueueEmpty(&Q))
            {
                DeQueue(&Q, &i);
                for (j=0; j<G->numVertexes; ++j)
                {
                    if (!visited[j] && G->arc[i][j]!=INFINITY)
                    {
                        visited[j] = TRUE;
                        printf("%c ", G->vexs[j]);
                        EnQueue(&Q, j);
                    }
                }
            }
        }
    }
}
/****************************************/

//程序入口
int main(){
    MGraph G;

    CreateMGraph(&G);

    printf("\n图的深度优先遍历为: ");
    DFSTraverse(G);    

    printf("\n图的广度优先遍历为: ");
    BFSTraverse(&G);

    printf("\n");

    return 0;
}

 

易学教程内所有资源均来自网络或用户发布的内容,如有违反法律规定的内容欢迎反馈
该文章没有解决你所遇到的问题?点击提问,说说你的问题,让更多的人一起探讨吧!