前言
分类问题的评价指标是准确率,那么回归算法的评价指标就是MSE,RMSE,MAE、R-Squared。下面一一介绍
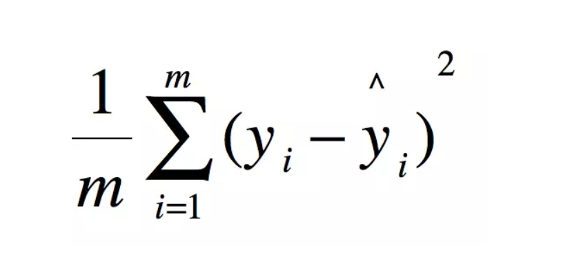
均方误差(MSE)
MSE (Mean Squared Error)叫做均方误差。看公式

这里的y是测试集上的。
用 真实值-预测值 然后平方之后求和平均。
猛着看一下这个公式是不是觉得眼熟,这不就是线性回归的损失函数嘛!!! 对,在线性回归的时候我们的目的就是让这个损失函数最小。那么模型做出来了,我们把损失函数丢到测试集上去看看损失值不就好了嘛。简单直观暴力!
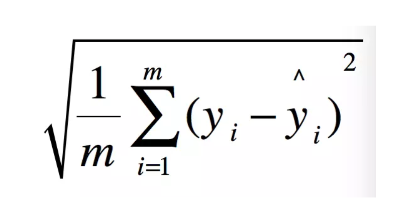
均方根误差(RMSE)
RMSE(Root Mean Squard Error)均方根误差。

这不就是MSE开个根号么。有意义么?其实实质是一样的。只不过用于数据更好的描述。
例如:要做房价预测,每平方是万元(真贵),我们预测结果也是万元。那么差值的平方单位应该是 千万级别的。那我们不太好描述自己做的模型效果。怎么说呢?我们的模型误差是 多少千万?。。。。。。于是干脆就开个根号就好了。我们误差的结果就跟我们数据是一个级别的可,在描述模型的时候就说,我们模型的误差是多少万元。
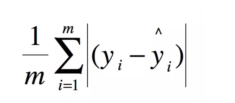
MAE
MAE(平均绝对误差)

不用解释了吧。
R Squared
上面的几种衡量标准针对不同的模型会有不同的值。比如说预测房价 那么误差单位就是万元。数子可能是3,4,5之类的。那么预测身高就可能是0.1,0.6之类的。没有什么可读性,到底多少才算好呢?不知道,那要根据模型的应用场景来。
看看分类算法的衡量标准就是正确率,而正确率又在0~1之间,最高百分之百。最低0。很直观,而且不同模型一样的。那么线性回归有没有这样的衡量标准呢?答案是有的。
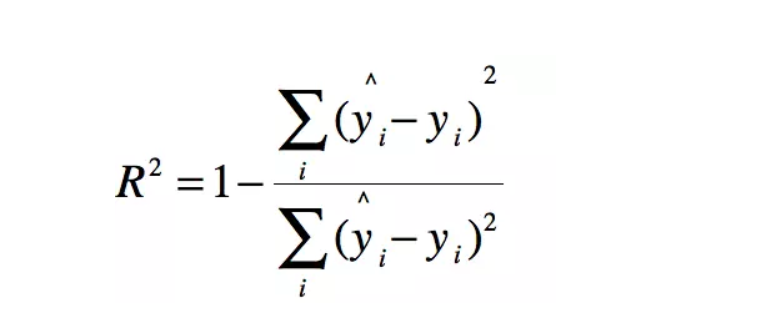
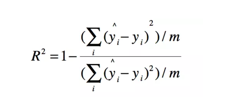
那就是R Squared也就R方

光看这些东西很懵逼,其中分子是Residual Sum of Squares 分母是 Total Sum of Squares
那就看公式吧

懵逼(X2)
慢慢解释。其实这个很简单。
上面分子就是我们训练出的模型预测的所有误差。
下面分母就是不管什么我们猜的结果就是y的平均数。(瞎猜的误差)
那结果就来了。
如果结果是0,就说明我们的模型跟瞎猜差不多。
如果结果是1。就说明我们模型无错误。
如果结果是0-1之间的数,就是我们模型的好坏程度。
如果结果是负数。说明我们的模型还不如瞎猜。(其实导致这种情况说明我们的数据其实没有啥线性关系)
化简上面的公式
分子分母同时除以m

那么分子就变成了我们的均方误差MSE,下面分母就变成了方差。

代码部分
具体模型代码就不给了。只说这个几种衡量标准的原始代码。
MSE
y_preditc=reg.predict(x_test) #reg是训练好的模型
mse_test=np.sum((y_preditc-y_test)**2)/len(y_test) #跟数学公式一样的
RMSE
rmse_test=mse_test ** 0.5
MAE
mae_test=np.sum(np.absolute(y_preditc-y_test))/len(y_test)
R Squared
1- mean_squared_error(y_test,y_preditc)/ np.var(y_test)
scikit-learn中的各种衡量指标
from sklearn.metrics import mean_squared_error #均方误差
from sklearn.metrics import mean_absolute_error #平方绝对误差
from sklearn.metrics import r2_score#R square
#调用
mean_squared_error(y_test,y_predict)
mean_absolute_error(y_test,y_predict)
r2_score(y_test,y_predict)
来源:CSDN
作者:Danker01
链接:https://blog.csdn.net/weixin_42575020/article/details/103512995