【推荐】2019 Java 开发者跳槽指南.pdf(吐血整理) >>>
一、算法简介
k邻近算法( k-nearest neighbors ),即 KNN 算法。
KNN是一种基于实例学习( instance-based learning ),或者所是将所有计算推迟到分类之后的惰性学习( lazy learning )的一种算法,KNN可以说是最简单的分类算法之一,同时,它也是最常用的分类算法之一,注意KNN算法是有监督学习中的分类算法。
二、算法原理
KNN算法的思路是:如果一个样本在特征空间中的 k 个最相似(即特征空间中最邻近)的样本中的大多数属于某一个类别,则该样本也属于这个类别。通常 K 是不大于20的奇数。
用一句我们中国的古话来说,就是“近朱者赤,近墨者黑。”
举个例子:
一只小鹰出生怎么判断自己是一只鹰还是一只鸡呢?
如下图,我们假设绿色代表这只小鹰。红色代表鸡,蓝色代表鹰。
它睁开眼看了一下周围3只动物,两只是鸡,一直是鹰。他就把自己分类为鸡。当他看的比较远的时候,他看到了周围5只动物。发现三只是鹰,两只是鸡。他就把自己分类为鹰。

从上面的例子中,我们可以看出该算法涉及3个主要因素:训练集、距离或相似的衡量、k的大小。
该算法的基本步骤
- 算距离:给定测试对象,计算它与训练集中的每个对象的距离
- 找邻居:圈定距离最近的k个训练对象,作为测试对象的近邻
- 做分类:根据这k个近邻归属的主要类别,来对测试对象分类
三、算法要点
1、距离计算
关于距离的测量方式有多种,这里只介绍两种。
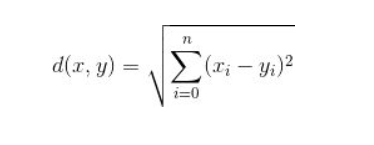
欧氏距离 这种测量方式就是简单的平面几何中两点之间的直线距离。

并且这种方法可以延伸至三维或更多维的情况。它的公式可以总结为:

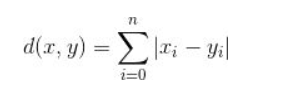
曼哈顿距离 顾名思义,城市街区的距离就不能是点和点的直线距离,而是街区的距离。如棋盘上也会使用曼哈顿距离的计算方法:

这样我们就明白了如何计算距离,通常KNN算法中使用的是欧式距离。KNN算法最简单粗暴的就是将预测点与所有点距离进行计算,然后保存并排序,选出前面K个值看看哪些类别比较多。
为什么KNN使用欧式距离而不是曼哈顿距离?
KNN不用曼哈顿距离,因为它只计算水平或垂直距离,有维度的限制。另一方面,欧氏距离可用于任何空间的距离计算问题。因为,数据点可以存在于任何空间,欧氏距离是更可行的选择。例如:想象一下国际象棋棋盘,象或车所做的移动是由曼哈顿距离计算的,因为它们是在各自的水平和垂直方向做的运动。
2、K值选择
通过小鸡和老鹰的案例我们知道了,KNN算法的关键点K值选取很重要。 那么,K究竟应该怎么取值呢?
答案是通过交叉验证(将样本数据按照一定比例,拆分出训练用的数据和验证用的数据,比如6:4拆分出部分训练数据和验证数据),从选取一个较小的K值开始,不断增加K的值,然后计算验证集合的方差,最终找到一个比较合适的K值。
经验规则:k一般低于训练样本数的平方根
四、优缺点
- 优点:
简单,易于理解,无需建模与训练,易于实现;
适合对稀有事件进行分类;
适合与多分类问题,例如根据基因特征来判断其功能分类,kNN比SVM的表现要好。
- 缺点:
惰性算法,内存开销大,对测试样本分类时计算量大,性能较低;
可解释性差,无法给出决策树那样的规则。
来源:oschina
链接:https://my.oschina.net/u/3938912/blog/3142177