九、正则化线性模型
- Ridge Regression 岭回归
- Lasso 回归
- Elastic Net 弹性网络
- Early stopping
1.Ridge Regression(岭回归)
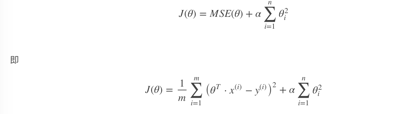
岭回归是线性回归的正则化版本,即在原来的线性回归的cost function中添加正则项:
![[外链图片转存失败,源站可能有防盗链机制,建议将图片保存下来直接上传(img-5cAOoVHa-1576031094878)(file:///C:/Users/%E6%B8%85%E9%A3%8E/Desktop/%E6%9C%BA%E5%99%A8%E5%AD%A6%E4%B9%A0%E8%AF%BE%E4%BB%B6/%E6%9C%BA%E5%99%A8%E5%AD%A6%E4%B9%A0%E8%AE%B2%E4%B9%89/%E6%9C%BA%E5%99%A8%E5%AD%A6%E4%B9%A0%EF%BC%88%E7%AE%97%E6%B3%95%E7%AF%87%EF%BC%89/%E7%BA%BF%E6%80%A7%E5%9B%9E%E5%BD%92/images/%E5%B2%AD%E5%9B%9E%E5%BD%92%E6%A8%A1%E5%9E%8B1.png)]](https://img-blog.csdnimg.cn/20191211102847691.png)
以达到在拟合数据的同时,使模型权重尽可能小的目的,岭回归代价函数:
![[外链图片转存失败,源站可能有防盗链机制,建议将图片保存下来直接上传(img-gpbnH1QE-1576031094882)(file:///C:/Users/%E6%B8%85%E9%A3%8E/Desktop/%E6%9C%BA%E5%99%A8%E5%AD%A6%E4%B9%A0%E8%AF%BE%E4%BB%B6/%E6%9C%BA%E5%99%A8%E5%AD%A6%E4%B9%A0%E8%AE%B2%E4%B9%89/%E6%9C%BA%E5%99%A8%E5%AD%A6%E4%B9%A0%EF%BC%88%E7%AE%97%E6%B3%95%E7%AF%87%EF%BC%89/%E7%BA%BF%E6%80%A7%E5%9B%9E%E5%BD%92/images/%E5%B2%AD%E5%9B%9E%E5%BD%92%E6%A8%A1%E5%9E%8B2.png)]](https://img-blog.csdnimg.cn/20191211102857543.png?x-oss-process=image/watermark,type_ZmFuZ3poZW5naGVpdGk,shadow_10,text_aHR0cHM6Ly9ibG9nLmNzZG4ubmV0L1dhbmdUYW9UYW9f,size_16,color_FFFFFF,t_70)
- a=0:岭回归退化为线性回归
2.Lasso Regression(Lasso 回归)
Lasso 回归是线性回归的另一种正则化版本,正则项为权值向量 ℓ1范数。
Lasso 回归的代价函数:
![[外链图片转存失败,源站可能有防盗链机制,建议将图片保存下来直接上传(img-S8xxgruC-1576031094882)(file:///C:/Users/%E6%B8%85%E9%A3%8E/Desktop/%E6%9C%BA%E5%99%A8%E5%AD%A6%E4%B9%A0%E8%AF%BE%E4%BB%B6/%E6%9C%BA%E5%99%A8%E5%AD%A6%E4%B9%A0%E8%AE%B2%E4%B9%89/%E6%9C%BA%E5%99%A8%E5%AD%A6%E4%B9%A0%EF%BC%88%E7%AE%97%E6%B3%95%E7%AF%87%EF%BC%89/%E7%BA%BF%E6%80%A7%E5%9B%9E%E5%BD%92/images/lasso%E5%9B%9E%E5%BD%921.png)]](https://img-blog.csdnimg.cn/20191211102902597.png)
【注意】:
- Lasso Regression的代价函数在 θi=0处是不可导的.
- 解决方法:在 θi=0处用一个次梯度向量代替梯度,如下
- Lasso Regression的次梯度向量
![[外链图片转存失败,源站可能有防盗链机制,建议将图片保存下来直接上传(img-9LF0tR6r-1576031094883)(file:///C:/Users/%E6%B8%85%E9%A3%8E/Desktop/%E6%9C%BA%E5%99%A8%E5%AD%A6%E4%B9%A0%E8%AF%BE%E4%BB%B6/%E6%9C%BA%E5%99%A8%E5%AD%A6%E4%B9%A0%E8%AE%B2%E4%B9%89/%E6%9C%BA%E5%99%A8%E5%AD%A6%E4%B9%A0%EF%BC%88%E7%AE%97%E6%B3%95%E7%AF%87%EF%BC%89/%E7%BA%BF%E6%80%A7%E5%9B%9E%E5%BD%92/images/lasso%E5%9B%9E%E5%BD%922.png)]](https://img-blog.csdnimg.cn/20191211102912732.png?x-oss-process=image/watermark,type_ZmFuZ3poZW5naGVpdGk,shadow_10,text_aHR0cHM6Ly9ibG9nLmNzZG4ubmV0L1dhbmdUYW9UYW9f,size_16,color_FFFFFF,t_70)
Lasso Regression有一个重要的型值是:倾向于完全消除不重要的权重
例如:当a取值相对较大的时,高阶多项式退化为二次甚至是线性:高阶多项式特征的权重被置为0.
也就是说,Lasso Regression能够自动进行特征选择,并输出一个稀疏模型(只有少数特征的权重是非零的)。
3.Elastic Net(弹性网络)
弹性网络在岭回归和Lasso回归中进行了折中,通过 混合比(mix ratio) r 进行控制:
- r=0:弹性网络变为岭回归
- r=1:弹性网络便为Lasso回归
弹性网络的代价函数 :
![[外链图片转存失败,源站可能有防盗链机制,建议将图片保存下来直接上传(img-o0cmOmIE-1576031094884)(file:///C:/Users/%E6%B8%85%E9%A3%8E/Desktop/%E6%9C%BA%E5%99%A8%E5%AD%A6%E4%B9%A0%E8%AF%BE%E4%BB%B6/%E6%9C%BA%E5%99%A8%E5%AD%A6%E4%B9%A0%E8%AE%B2%E4%B9%89/%E6%9C%BA%E5%99%A8%E5%AD%A6%E4%B9%A0%EF%BC%88%E7%AE%97%E6%B3%95%E7%AF%87%EF%BC%89/%E7%BA%BF%E6%80%A7%E5%9B%9E%E5%BD%92/images/elastic_net.png)]](https://img-blog.csdnimg.cn/20191211102922258.png)
一般来说,我们应避免使用朴素线性回归,而应对模型进行一定的正则化处理,那如何选择正则化方法呢?
小结:
-
常用:岭回归
-
假设只有少部分特征是有用的:
- 弹性网络
- Lasso
- 一般来说,弹性网络的使用更为广泛。因为在特征维度高于训练样本数,或者特征是强相关的情况下,Lasso回归的表现不太稳定。
-
api:
-
from sklearn.linear_model import Ridge, ElasticNet, Lasso
-
4.Early Stopping
Early Stopping 也是正则化迭代学习的方法之一。
其做法为:在验证错误率达到最小值的时候停止训练。
十、线性回归的改进–岭回归
1.岭回归的API
- sklearn.linear_model.Ridge(aplha=1.0,fit_intercept=True,solver=‘auto’,normalize=False)
- 具有L2正则化的线性回归
- alpha:正则化力度 也叫 λ
- 取值:0~1 1~10
- solver:会根据数据自动选择优化方法
- sag:如果数据集、特征都比较大,选择该随机梯度下降优化
- normalize:数据是否进行标准化
- normalize=False:可以在fit之前调用StandScaler标准化数据
- Ridge.coef_:回归权值
- Ridge.intercept_:回归偏置
Ridge方法相当于SGDRegressor(penalty=‘l2’, loss=“squared_loss”),只不过SGDRegressor实现了一个普通的随机梯度下降学习,推荐使用Ridge(实现了SAG)
- sklearn.linear_model.RidgeCV(_BaseRidgeCV,RegressorMixin)
- 具有L2正则化的线性回归,可以进行交叉验证
- coef_:回归系数
class _BaseRidgeCV(LinearModel):
def __init__(self, alphas=(0.1, 1.0, 10.0),
fit_intercept=True, normalize=False,scoring=None,
cv=None, gcv_mode=None,
store_cv_values=False):
- 正则化力度越大,权重系数会越小
- 正则化力度越小,权重系数会越大
波士顿房价预测
def linear_model3():
'''
线性回归:岭回归
'''
# 1.获取数据
data = load_boston()
# 2.数据集划分
x_train, x_test, y_train, y_test = train_test_split(data.data, data.target, random_state=22)
# 3.特征工程-标准化
transfer = StandardScaler()
x_train = transfer.fit_transform(x_train)
x_test = transfer.fit_transform(x_test)
# 4.机器学习 --线性回归---岭回归
estimator = Ridge(alpha=1)
estimator.fit(x_train,y_train)
# 5.模型评估
# 5.1 获取系数等值
y_predict = estimator.predict(x_test)
print("预测值为:\n", y_predict)
print("模型中的系数为:\n", estimator.coef_)
print("模型中的偏置为:\n", estimator.intercept_)
# 5.2 评价
# 均方误差
error = mean_squared_error(y_test,y_predict)
=print("误差为:",error)
来源:CSDN
作者:王涛涛.
链接:https://blog.csdn.net/WangTaoTao_/article/details/103487885