函数、极限、连续性、导数

假如想象 提交于 2019-12-11 11:48:55

一、函数

1、函数的定义

函数表示量与量之间的关系如:A=πr2A=πr2。更普遍的是用y=f(x)y=f(x)表示,其中x表示自变量,y表示因变量。函数在x0处取得的函数值y0=y∣x=x0=f(x0)y0=y∣x=x0=f(x0)。值得一提的是,符号只是一种表示,也可以用其他符号来表示,比如:y=g(x)y=g(x)、y=φ(x)y=φ(x)、y=ψ(x)y=ψ(x)等。

2、常用函数形式

分段函数:f(x)={x−−√,−x,x⩾0x<0f(x)={x,x⩾0−x,x<0

反函数:h=12gt2→h=h(t)→t=2hg−−√→t=t(h)h=12gt2→h=h(t)→t=2hg→t=t(h)

显函数:y=x2+1y=x2+1

隐函数:F(x,y)=0F(x,y)=0,3x+y−4=03x+y−4=0

3、函数特点

奇函数:相对于原点对称的函数f(−x)=−f(x)f(−x)=−f(x),如f(x)=x3f(x)=x3,代入计算可得f(−x)=(−x)3=−x3=−f(x)f(−x)=(−x)3=−x3=−f(x)。

偶函数:相当于Y轴对称的函数f(−x)=f(x)f(−x)=f(x),如f(x)=x2f(x)=x2,代入计算可得f(−x)=(−x)2=x2=f(x)f(−x)=(−x)2=x2=f(x)。

周期函数:经过一个周期T的变化函数值仍相等f(x+T)=f(x)f(x+T)=f(x),如常见的三角函数等。

单调性:分为单调递增函数和单调递减函数。

二、极限

1、数列

通俗的讲就是一列有序的数:u1,u2,...,un,...u1,u2,...,un,...,其中unun叫做通项。对于数列{un}{un},如果当n无限增大时,其通项无限接近于一个常数A,则称该数列以A为极限或称数列收敛于A,否则称数列为发散。limn→∞un=Alimn→∞un=A,或un→A(n→∞)un→A(n→∞),limn→∞13n=0limn→∞13n=0,limn→∞nn+1=1limn→∞nn+1=1,limn→∞2nlimn→∞2n不存在。

2、极限

符号表示:

x→∞x→∞表示“当|x|无限增大时” ,

x→+∞x→+∞表示“当x无限增大时” ,

x→−∞x→−∞表示“当x无限减少时” ,

x→x0x→x0表示“当x从x0的左右两侧无限接近于x0时” ,

x→x+0x→x0+表示“当x从x0的右侧无限接近于x0时” ,

x→x−0x→x0−表示“当x从x0的左侧无限接近于x0时” ,

下面用几个示例图形象地表示极限

 

3、定义

函数在x0的邻域内有定义,有limx→x0f(x)=Alimx→x0f(x)=A,或f(x)→A(x−x0)f(x)→A(x−x0)。例如limx→1x2−1x−1=limx→1(x−1)(x+1)x−1=2limx→1x2−1x−1=limx→1(x−1)(x+1)x−1=2

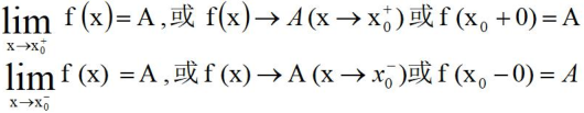
4、左右极限

函数在左半邻域/右半邻域内有定义(x0,x0+δ),(x0−δ,x0)(x0,x0+δ),(x0−δ,x0),有

 

limx→x0f(x)=Alimx→x0f(x)=A的充要条件是limx→x−0f(x)=limx→x+0f(x)=Alimx→x0−f(x)=limx→x0+f(x)=A

有以下例题,求f(x)f(x)的极限

f(x)=⎧⎩⎨⎪⎪x−10x+1x<0x=0x>0f(x)={x−1x<00x=0x+1x>0

求解可得,当x->0时,f(x)的极限limx→x+0f(x)=limx→x+0(x+1)=1limx→x0+f(x)=limx→x0+(x+1)=1,limx→x−0f(x)=limx→x−0(x−1)=−1limx→x0−f(x)=limx→x0−(x−1)=−1。左右极限存在但不相等,所以f(x)在x->0时极限不存在。

5、极限性质

无穷小:以零为极限,如函数limx→∞1x=0limx→∞1x=0,1x1x是x→∞x→∞时的无穷小。limx→2(3x−6)=0limx→2(3x−6)=0,3x−63x−6是x→2x→2时的无穷小。

基本性质:

1.有限个无穷小的代数和仍是无穷小。

2.有限个无穷小的积仍是无穷小。

3.有界变量与无穷小的积仍是无穷小。

4.无限个无穷小之和不一定是无穷小。

 

5.无穷小的商不一定是无穷小。limx→0x2x=12,limx→0x22x=0,limx→02xx2=∞limx→0x2x=12,limx→0x22x=0,limx→02xx2=∞

6.极限有无限小的关系:limx→x0f(x)=Alimx→x0f(x)=A的充要条件是f(x)=A+α(x)f(x)=A+α(x),其中α(x)α(x)是x→x0x→x0时的无穷小。

7.无穷大:并不是一个很大的数,是相对于变换过程来说。limx→x0f(x)=∞limx→x0f(x)=∞或f(x)→∞(x→x0)f(x)→∞(x→x0)。

8.无穷小和无穷大的关系:在自变量的变换的同一过程中,如果f(x)为无穷大,那么1f(x)1f(x)为无穷小。

9.无穷小的比较:α=α(x),β=β(x)α=α(x),β=β(x)都是无穷小,limx→x0α(x)=0,limx→x0β(x)=0limx→x0α(x)=0,limx→x0β(x)=0。有如下比较。

 

三、连续性

1、函数的连续性

设函数y=f(x)在点x0的某邻域内有定义,如果当自变量的改变量ΔxΔx趋近于0时,相应函数的改变量ΔyΔy也趋近于0,则称y=f(x)在点x0处连续。

 

函数的连续性,函数f(x)在点x0处连续,需要满足的条件:1、函数在该点有定义。2、函数在该点极限limx→x0f(x)limx→x0f(x)存在。3、极限值等于函数值f(x0)

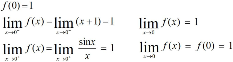
例题,函数f(x)={x+1sinxxx⩽0x>0f(x)={x+1x⩽0sin⁡xxx>0在x=0处的连续性?

解:判断左右界限是否存在且先等。如下图所示

 

2、函数的间断点

函数f(x)在点x=x0处不连续,则称其为函数的间断点。一共三种情况为间断点:1、函数f(x)在点x0处没有定义。2、函数在该点极限limx→x0f(x)limx→x0f(x)不存在。3、满足前两点,但是limx→x0f(x)≠f(x)limx→x0f(x)≠f(x)。

当x->x0时,f(x)的左右极限存在,则称x0为f(x)的第一类间断点,第一类间断点分为跳跃间断点和可去间断点,否则为第二类间断点。

跳跃间断点:limx→0−f(x)limx→0−f(x)与limx→0−f(x)limx→0−f(x)均存在,但不相等。

可去间断点:limx→x0f(x)limx→x0f(x)存在但不等于f(x0)f(x0)。

3、例题

函数f(x)=x2−1x2−3x+2f(x)=x2−1x2−3x+2的连续性? 

 

四、导数

平均速度很好表示,如v=s/t,但是如何表示瞬时速度呢?

瞬时经过路程:Δs=s(t0+Δt)−s(t0)Δs=s(t0+Δt)−s(t0)

这一小段的平均路程:v¯=ΔsΔt=s(t0+Δt)−s(t0)Δtv¯=ΔsΔt=s(t0+Δt)−s(t0)Δt

当Δt→0Δt→0时也就是瞬时速度了,v(t0)=limΔt→0v¯=limΔt→0ΔsΔt=limΔt→0s(t0+Δt)−s(t0)Δtv(t0)=limΔt→0v¯=limΔt→0ΔsΔt=limΔt→0s(t0+Δt)−s(t0)Δt。

导数:如果平均变化率的极限存在, limΔx→0ΔyΔx=limΔx→0f(x0+Δx)−f(x0)ΔxlimΔx→0ΔyΔx=limΔx→0f(x0+Δx)−f(x0)Δx,则称此极限为函数y=f(x)在点x0处的导数f'(x0)。y′∣x=x0,dydx∣x=x0y′∣x=x0,dydx∣x=x0或df(x)dx∣x=x0df(x)dx∣x=x0。

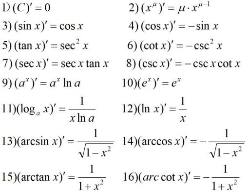
下面列出常见函数的导数。

 

下面列出导数的运算法则(最后一条不经常用):

 

易学教程内所有资源均来自网络或用户发布的内容,如有违反法律规定的内容欢迎反馈
该文章没有解决你所遇到的问题?点击提问,说说你的问题,让更多的人一起探讨吧!