1. Hinge Loss 表达式
Hinge loss也称之为Multiclass SVM loss
2. 正则化
当Hinge loss = 0 时,W的取值不唯一,而通过添加正则项可以使得w的值唯一。
3. Softmax 与cross-entropy损失公式
Softmax:
cross-entropy loss:
最大值是无穷大,最小值是0.
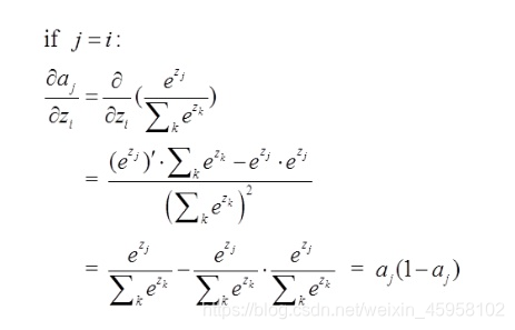
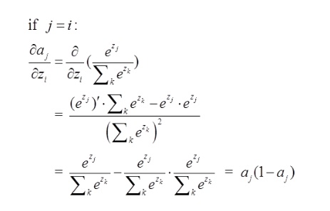
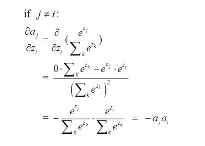
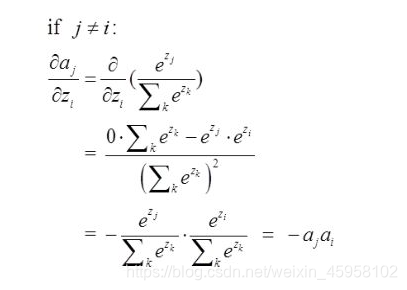
softmax 求导:

4. Hinge loss与Softmax的区别
Hinge loss主要用于SVM中,而Softmax 分类器可以理解为逻辑回归分类器面对多个分类的一般话归纳,其输出(归一化的分类概率)更加直观,且可以从概率上解释。
来源:CSDN
作者:weixin_45958102
链接:https://blog.csdn.net/weixin_45958102/article/details/103455610