计算过程:
- 用常数1取代运行时间中的所有加法常数。
- 在修改后的运行次数函数中,只保留最高阶项。
- 如果最高阶项存在且不是1,则去除与这个项目相乘的常数。得到的结果就是大O阶。
推导示例
1、常数阶
首先顺序结构的时间复杂度。下面这个算法,是利用高斯定理计算1,2,……n个数的和。
int sum = 0, n = 100; /*执行一次*/
sum = (1 + n) * n / 2; /*执行一次*/
printf("%d",sum); /*执行一次*/
这个算法的运行次数函数是f (n) =3。 根据我们推导大0阶的方法,
- 第一步就是把常数项3 改为1。
- 在保留最高阶项时发现,它根本没有最高阶项
- 所以这个算法的时间复杂度为0(1)。
2、线性阶
线性阶的循环结构会复杂很多。要确定某个算法的阶次,我们常常需要确定某个特定语句或某个语句集运行的次数。因此,我们要分析算法的复杂度,关键就是要分析循环结构的运行情况。
下面这段代码,它的循环的时间复杂度为O(n), 因为循环体中的代码须要执行n次。
int i;
for(i = 0; i < n; i++){
/*时间复杂度为O(1)的程序步骤序列*/
}
3、对数阶
今天某位18级同学请教我的这个问题,促使我写了这篇博客。
public class TS {
public static void main(String[] args) {
int i=1;
int n= 100;
while(i<n) {
i = i*2;
}
}
由于每次count乘以2之后,就距离n更近了一分。 也就是说,有多少个2相乘后大于n,则会退出循环。 由2^x=n 得到x=。 所以这个循环的时间复杂度为O()。
4、平方阶
例如:冒泡排序。和下面段程序
int i, j;
for(i = 0; i < n; i++){
for(j = 0; j < n; j++){
/*时间复杂度为O(1)的程序步骤序列*/
}
}
而对于外层的循环,不过是内部这个时间复杂度为O(n)的语句,再循环n次。 所以这段代码的时间复杂度为O()。
如果外循环的循环次数改为了m,时间复杂度就变为O(m*n)。
所以我们可以总结得出,循环的时间复杂度等于循环体的复杂度乘以该循环运行的次数。
那么下面这个循环嵌套,它的时间复杂度是多少呢?
int i, j;
for(i = 0; i < n; i++){
for(j = i; j < n; j++){ /*注意j = i而不是0*/
/*时间复杂度为O(1)的程序步骤序列*/
}
}
由于当i=0时,内循环执行了n次,当i = 1时,执行了n-1次,……当i=n-1时,执行了1次。所以总的执行次数为:
…… = = +
用我们推导大O阶的方法
- 没有加法常数不予考虑;
- 只保留最高阶项,因此保留时;
- 去除这个项相乘的常数,也就是去除1/2,最终这段代码的时间复杂度为O()。
从这个例子,我们也可以得到一个经验,其实理解大0推导不算难,难的是对数列的一些相关运算,这更多的是考察你的数学知识和能力。
4、立方阶
下面例子是一个三重循环嵌套。
int i, j;
for(i = 1; i < n; i++)
for(j = 1; j < n; j++)
for(j = 1; j < n; j++){
/*时间复杂度为O(1)的程序步骤序列*/
}
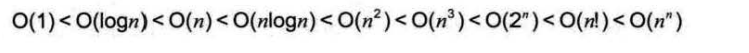
5、常见的时间复杂度排序

我们前面已经谈到了。O(1)常数阶、O(logn)对数阶、O(n)线性阶、 O()平方阶等,像O(),过大的n都会使得结果变得不现实。同样指数阶O()和阶乘阶O(n!)等除非是很小的n值,否则哪怕n 只是100,都是噩梦般的运行时间。所以这种不切实际的算法时间复杂度,一般我们都不去讨论。
来源:CSDN
作者:有敬无畏乐以忘忧
链接:https://blog.csdn.net/qq_42443562/article/details/103482004