2019.12.10 更新 未完结
3. The Proposed Method
首先,我们在图1中概述了我们的两阶段方法:
在第一阶段,通过添加SF-Net和MDA-Net,可以期望特征图包含更多的特征信息和更少的噪声。为了角度参数的位置灵敏度,此阶段仍使水平框回归。
通过改进的五参数回归和第二阶段中每个提案的旋转非最大抑制(R-NMS)操作,我们可以获得任意旋转下的最终检测结果。
3.1 Finer Sampling and Feature Fusion Network (SF-Net)
在我们的分析中,检测小物体有两个主要障碍:物体特征信息不足和anchor样本不足。 原因是由于使用池化层,因此小对象在深层中丢失了大部分特征信息。 同时,高级特征图的较大采样步幅倾向于直接跳过较小的对象,从而导致采样不足。
3.1.1 Feature fusion
通常认为,低级特征图可以保留小对象的位置信息,而高级特征图可以包含高级语义线索。 特征金字塔网络(FPN)[23],自上而下调制(TDM)[35]和与对象先验网络(RON)的反向连接[21]是常见的特征融合方法,涉及高低级特征图不同形式的组合。
3.1.2 Finer sampling
训练样本不足和不平衡会影响检测性能。 通过引入期望的最大重叠(EMO)得分,[45]中的作者计算出锚点和物体之间的期望的最大联合交叉点(IoU)。 他们发现锚点(SA)的stride越小,获得的EMO得分越高,从统计上讲导致所有对象的平均最大IoU均得到改善。
图2显示了分别跨步16和8进行小物体采样的结果。 可以看出,较小的SA可以对更多高质量的样本进行采样,从而很好地捕获了小物体,这对于检测器训练和推理都非常有帮助。
基于以上分析,我们设计了更精细的采样和特征融合网络(SF-Net),如图3所示。在基于锚点的检测框架中,特征图相对于原始图像缩减了倍。换句话说,的值只能是2的指数倍。SF-Net通过更改特征图的大小来解决此问题,从而使SA的设置更加灵活以允许更多自适应采样。为了减少网络参数,SF-Net仅使用Resnet [16]中的C3和C4进行融合,以平衡语义信息和位置信息,同时忽略其他不太相关的功能。简单来说,SF-Net的第一个通道会对C4进行升采样,以使其SA = S,其中S是预期的锚跨度。第二个通道还将C3上采样到相同的大小。然后,我们将C3传递给起始结构,以扩展C3的接受域并增加语义信息。初始结构包含各种比率卷积核以捕获对象形状的多样性。最后,通过将两个通道逐个元素相加获得新的特征图F3。
表1列出了不同SA下DOTA的检测精度和训练开销。我们发现最佳的SA取决于特定的数据集,尤其是小对象的大小分布。在本文中,为了在精度和速度之间进行权衡,通常将S的值设置为6。
——此处代码在代码 ./libs/networks/resnet.py (test部分)
def resnet_base(img_batch, scope_name, is_training=True):
'''
this code is derived from light-head rcnn.
https://github.com/zengarden/light_head_rcnn
It is convenient to freeze blocks. So we adapt this mode.
'''
if scope_name == 'resnet_v1_50':
middle_num_units = 6
elif scope_name == 'resnet_v1_101':
middle_num_units = 23
else:
raise NotImplementedError('We only support resnet_v1_50 or resnet_v1_101 or mobilenetv2. '
'Check your network name.')
blocks = [resnet_v1_block('block1', base_depth=64, num_units=3, stride=2),
resnet_v1_block('block2', base_depth=128, num_units=4, stride=2),
# use stride 1 for the last conv4 layer.
resnet_v1_block('block3', base_depth=256, num_units=middle_num_units, stride=1)]
# when use fpn, stride list is [1, 2, 2]
with slim.arg_scope(resnet_arg_scope(is_training=False)):
with tf.variable_scope(scope_name, scope_name):
# Do the first few layers manually, because 'SAME' padding can behave inconsistently
# for images of different sizes: sometimes 0, sometimes 1
net = resnet_utils.conv2d_same( img_batch, 64, 7, stride=2, scope='conv1')
net = tf.pad(net, [[0, 0], [1, 1], [1, 1], [0, 0]])
net = slim.max_pool2d( net, [3, 3], stride=2, padding='VALID', scope='pool1')
not_freezed = [False] * cfgs.FIXED_BLOCKS + (4-cfgs.FIXED_BLOCKS)*[True]
# Fixed_Blocks can be 1~3
with slim.arg_scope(resnet_arg_scope(is_training=(is_training and not_freezed[0]))):
C2, end_points_C2 = resnet_v1.resnet_v1(net,
blocks[0:1],
global_pool=False,
include_root_block=False,
scope=scope_name)
with slim.arg_scope(resnet_arg_scope(is_training=(is_training and not_freezed[1]))):
C3, end_points_C3 = resnet_v1.resnet_v1(C2,
blocks[1:2],
global_pool=False,
include_root_block=False,
scope=scope_name)
with slim.arg_scope(resnet_arg_scope(is_training=(is_training and not_freezed[2]))):
C4, _ = resnet_v1.resnet_v1(C3,
blocks[2:3],
global_pool=False,
include_root_block=False,
scope=scope_name)
if cfgs.ADD_FUSION:
C3_shape = tf.shape(end_points_C3['{}/block2/unit_3/bottleneck_v1'.format(scope_name)])
C4 = tf.image.resize_bilinear(C4, (C3_shape[1], C3_shape[2]))
_C3 = slim.conv2d(end_points_C3['{}/block2/unit_3/bottleneck_v1'.format(scope_name)],
1024, [3, 3],
trainable=is_training,
weights_initializer=cfgs.INITIALIZER,
activation_fn=tf.nn.relu,
scope='C3_conv3x3')
C4 += _C3
# C4_shape[1 90 160 1024]
3.2 Multi-Dimensional Attention Network

由于诸如航空图像之类的现实世界数据的复杂性,RPN提供的建议可能会引入大量的噪声信息,如图4b所示。过多的噪声会使对象信息不知所措,对象之间的边界将变得模糊(请参见图4a),从而导致漏检和误报增加。因此,有必要增强对象提示并削弱非对象信息。已经提出了许多注意力结构[18、17、37、38]来解决遮挡,噪声和模糊的问题。但是,大多数方法都是无监督的,难以指导网络学习特定目的。
为了更有效地捕获复杂背景下的小物体,我们设计了一种受监督的多维注意力学习器(MDA-Net),如图5所示。具体地说,在像素注意力网络中,特征图F3经过一个具有不同比率卷积核的初始结构,然后通过卷积运算学习两通道显着性图(参见图4d)。显着图分别表示前景和背景的分数。然后,在显着图上执行Softmax操作,并选择一个通道与F3相乘。最终,获得新的信息特征图A3,如图4c所示。应该注意的是,Softmax函数之后的显着性图的值在[0,1]之间。换句话说,它可以减少噪音并相对增强对象信息。由于显着性图是连续的,因此不会完全消除非对象信息,这对于保留某些上下文信息并提高鲁棒性是有益的。为了指导网络学习此过程,我们采用了监督学习方法。首先,我们可以很容易地根据ground truth获得一个二元图作为标签(如图4e所示),然后将二元图和显着图的cross-entropy loss 作为attention loss。此外,我们还使用SENet [18]作为辅助的chanel attention network,reduction ration=16。
——此处代码在代码 ./libs/networks/resnet.py (rest部分)
续上面的代码
if cfgs.ADD_ATTENTION:
with tf.variable_scope('build_C4_attention', regularizer=slim.l2_regularizer(cfgs.WEIGHT_DECAY)):
add_heatmap(tf.expand_dims(tf.reduce_mean(C4, axis=-1), axis=-1), 'add_attention_before')
C4_attention_layer = build_attention(C4, is_training)
C4_attention = tf.nn.softmax(C4_attention_layer)
C4_attention = C4_attention[:, :, :, 0]
C4_attention = tf.expand_dims(C4_attention, axis=-1)
add_heatmap(C4_attention, 'C4_attention')
C4 = tf.multiply(C4_attention, C4)
# C4 = SE_C4 * C4
add_heatmap(tf.expand_dims(tf.reduce_mean(C4, axis=-1), axis=-1), 'add_attention_after')
C4 = tf.Print(C4, [tf.shape(C4)], summarize=10, message='C4_shape')
if cfgs.ADD_ATTENTION:
return C4, C4_attention_layer
else:
return C4
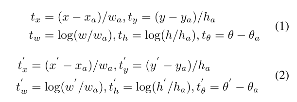
3.3 Rotation Branch
RPN网络为第二阶段提供了粗略的建议。 为了提高RPN的计算速度,在训练阶段我们为NMS操作从12,000回归框中选择最高得分,并获得2,000个回归框。 在测试阶段,NMS从10,000个回归框中提取了300个。
在第二阶段,我们使用五个参数(x,y,w,h,θ)表示一个面向任意方向的矩形。 θ在范围内定义为与x轴成锐角,在另一侧,我们将其表示为w。 此定义与OpenCV一致。 因此,在轴对齐的边界框上进行IoU计算可能会导致偏斜交互式边界框的IoU不准确,从而进一步破坏边界框的预测。 我们提出了一种偏斜IoU计算的实现[29],并考虑了三角剖分来解决这个问题。 我们将旋转非最大抑制(R-NMS)用作基于偏斜IoU计算的后处理操作。 对于数据集中形状的多样性,我们为不同类别设置了不同的R-NMS阈值。 此外,为了充分利用预训练权重ResNet,我们用C5 block和全局平均池化层(GAP)替换了两个全连接层fc6和fc7。
旋转边界框的回归为
其中x,y,w,h和θ分别表示框的中心坐标,宽度,高度和角度。 变量x,xa,x’ 分别用于ground-truth box, anchor box, predicted box(同样适用于y,w,h和θ)。
——此处代码在代码 ./libs/networks/build_whole_network.py (test部分)
def build_whole_detection_network(self, input_img_batch, gtboxes_r_batch, gtboxes_h_batch, mask_batch):
img_shape = tf.shape(input_img_batch)
# 1. build base network
if cfgs.ADD_ATTENTION:
feature_to_cropped, C4_attention_layer = self.build_base_network(input_img_batch)
else:
feature_to_cropped = self.build_base_network(input_img_batch)
# feature_to_cropped = A3
rpn_input = feature_to_cropped
build_base_network即为之前的通过SFNet和MDAnet,得到A3
# 2. build rpn
with tf.variable_scope('build_rpn',regularizer=slim.l2_regularizer(cfgs.WEIGHT_DECAY)):
rpn_cls_score, rpn_box_pred = build_rpn(rpn_input, self.num_anchors_per_location, self.is_training)
rpn_box_pred = tf.reshape(rpn_box_pred, [-1, 4])
rpn_cls_score = tf.reshape(rpn_cls_score, [-1, 2])
rpn_cls_prob = slim.softmax(rpn_cls_score, scope='rpn_cls_prob')
# 3. generate_anchors
featuremap_height, featuremap_width = tf.shape(feature_to_cropped)[1], tf.shape(feature_to_cropped)[2]
featuremap_height = tf.cast(featuremap_height, tf.float32)
featuremap_width = tf.cast(featuremap_width, tf.float32)
anchors = anchor_utils.make_anchors(base_anchor_size=cfgs.BASE_ANCHOR_SIZE_LIST[0],
anchor_scales=cfgs.ANCHOR_SCALES, anchor_ratios=cfgs.ANCHOR_RATIOS,
featuremap_height=featuremap_height,
featuremap_width=featuremap_width,
stride=cfgs.ANCHOR_STRIDE,
name="make_anchors_forRPN")
# 4. postprocess rpn proposals. such as: decode, clip, NMS
with tf.variable_scope('postprocess_RPN'):
rois, roi_scores = postprocess_rpn_proposals(rpn_bbox_pred=rpn_box_pred,
rpn_cls_prob=rpn_cls_prob,
img_shape=img_shape,
anchors=anchors,
is_training=self.is_training)
# rois shape [-1, 4]
# -------------------------------------------------------------------------------------------------------------#
# Fast-RCNN #
# -------------------------------------------------------------------------------------------------------------#
# 5. build Fast-RCNN
rois = tf.Print(rois, [tf.shape(rois)], 'rois shape', summarize=10)
bbox_pred_h, cls_score_h, bbox_pred_r, cls_score_r = build_fastrcnn(feature_to_cropped=feature_to_cropped,
rois=rois,
img_shape=img_shape,
base_network_name=self.base_network_name,
is_training=self.is_training)
# bbox_pred shape: [-1, 4*(cls_num+1)].
# cls_score shape: [-1, cls_num+1]
cls_prob_h = slim.softmax(cls_score_h, 'cls_prob_h')
cls_prob_r = slim.softmax(cls_score_r, 'cls_prob_r')
# 6. postprocess_fastrcnn
if not self.is_training:
final_boxes_h, final_scores_h, final_category_h = self.postprocess_fastrcnn_h(rois=rois,
bbox_ppred=bbox_pred_h,
scores=cls_prob_h,
img_shape=img_shape)
final_boxes_r, final_scores_r, final_category_r = self.postprocess_fastrcnn_r(rois=rois,
bbox_ppred=bbox_pred_r,
scores=cls_prob_r,
img_shape=img_shape)
return final_boxes_h, final_scores_h, final_category_h, final_boxes_r, final_scores_r, final_category_r
def build_base_network(self, input_img_batch):
if self.base_network_name.startswith('resnet_v1'):
return resnet.resnet_base(input_img_batch, scope_name=self.base_network_name, is_training=self.is_training) #3.1和3.2的代码
elif self.base_network_name.startswith('MobilenetV2'):
return mobilenet_v2.mobilenetv2_base(input_img_batch, is_training=self.is_training)
else:
raise ValueError('Sry, we only support resnet or mobilenet_v2')
#./lib/networks/layer.py
def build_rpn(inputs, num_anchors_per_location, is_training):
rpn_conv3x3 = slim.conv2d(inputs, 512, [cfgs.KERNEL_SIZE, cfgs.KERNEL_SIZE],
trainable=is_training,
weights_initializer=cfgs.INITIALIZER,
activation_fn=tf.nn.relu,
scope='rpn_conv/3x3')
rpn_cls_score = slim.conv2d(rpn_conv3x3, num_anchors_per_location * 2, [1, 1], stride=1,
trainable=is_training, weights_initializer=cfgs.INITIALIZER,
activation_fn=None,
scope='rpn_cls_score')
rpn_box_pred = slim.conv2d(rpn_conv3x3, num_anchors_per_location * 4, [1, 1], stride=1,
trainable=is_training, weights_initializer=cfgs.BBOX_INITIALIZER,
activation_fn=None,
scope='rpn_bbox_pred')
return rpn_cls_score, rpn_box_pred
def postprocess_rpn_proposals(rpn_bbox_pred, rpn_cls_prob, img_shape, anchors, is_training):
if is_training:
pre_nms_topN = cfgs.RPN_TOP_K_NMS_TRAIN
post_nms_topN = cfgs.RPN_MAXIMUM_PROPOSAL_TARIN
nms_thresh = cfgs.RPN_NMS_IOU_THRESHOLD
else:
pre_nms_topN = cfgs.RPN_TOP_K_NMS_TEST
post_nms_topN = cfgs.RPN_MAXIMUM_PROPOSAL_TEST
nms_thresh = cfgs.RPN_NMS_IOU_THRESHOLD
cls_prob = rpn_cls_prob[:, 1]
# 1. decode boxes
decode_boxes = encode_and_decode.decode_boxes(encode_boxes=rpn_bbox_pred,
reference_boxes=anchors,
scale_factors=cfgs.ANCHOR_SCALE_FACTORS)
# 2. clip to img boundaries
decode_boxes = boxes_utils.clip_boxes_to_img_boundaries(decode_boxes=decode_boxes,
img_shape=img_shape)
# 3. get top N to NMS
if pre_nms_topN > 0:
pre_nms_topN = tf.minimum(pre_nms_topN, tf.shape(decode_boxes)[0], name='avoid_unenough_boxes')
cls_prob, top_k_indices = tf.nn.top_k(cls_prob, k=pre_nms_topN)
decode_boxes = tf.gather(decode_boxes, top_k_indices)
# 4. NMS
keep = tf.image.non_max_suppression(
boxes=decode_boxes,
scores=cls_prob,
max_output_size=post_nms_topN,
iou_threshold=nms_thresh)
final_boxes = tf.gather(decode_boxes, keep)
final_probs = tf.gather(cls_prob, keep)
return final_boxes, final_probs
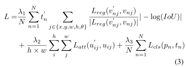
3.4 Loss Function
使用的多任务loss定义如下:
其中表示proposal数量,表示对象的标签,是由Softmax函数计算的各个类别的概率分布,是一个二进制值(表示前景,表示背景,背景不回归)。 代表预测的偏移矢量,代表ground truth的目标矢量。 ,分别代表蒙版像素的标签和预测。 IoU表示预测框和ground truth的重叠。超参数λ1,λ2,λ3控制权衡。另外,分类损失是Softmax cross-entropy。回归损失为[11]中定义的平滑L1 loss,attention loss 为像素级Softmax cross-entropy。
尤其是,存在旋转角度的边界问题,如图6所示。它表明了一种理想的回归形式(蓝色框逆时针旋转得到红色框),但是由于角度的周期性,这种情况的loss非常大。因此,模型必须以其他复杂形式回归(例如,在缩放w和h时顺时针旋转蓝色框),从而增加了回归的难度,如图7a所示。
为了更好地解决这个问题,我们在传统的平滑L1损耗中引入了IoU常数因子,如等式3所示。 可以看出,在边界情况下,损失函数近似等于,消除了loss的突然增加,如图7b所示。新的回归loss可以分为两部分,确定梯度传播的方向,以及确定梯度的大小。另外,使用IoU优化位置精度与IoU支配的度量标准一致,比坐标回归更直接有效。
来源:CSDN
作者:LukaMadrid
链接:https://blog.csdn.net/u014090659/article/details/103453469