参考:https://zh.wikipedia.org/wiki/%E5%8D%A1%E5%B0%94%E6%9B%BC%E6%BB%A4%E6%B3%A2
卡尔曼滤波模型:
其中噪声服从
假设初始状态以及每一时刻的噪声{x0, w1, ..., wk, v1 ... vk}都互相独立.
卡尔曼滤波器
两个状态变量:
,在时刻k的状态的估计
,后验估计误差协方差矩阵,度量估计值的精确程度
预测
(预测状态)
(预测估计协方差矩阵)
更新
三个辅助变量
(测量余量)
(测量余量协方差)
(最优卡尔曼增益)
更新滤波器变量x与P:
(更新的状态估计)
(更新的协方差估计)
以上是kalman的流程(from wiki),下面是具体的推导过程
具体推导
这边用的是不一样的记号(MIT的lecture)

然后,我们有

最优卡尔曼增益

上面的就是最优卡尔曼增益,所以有

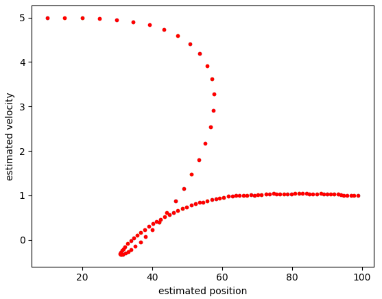
例子
假设一辆小车,我们值观测到了位置,我们用kalman滤波去估计速度
N = 100
z = np.arange(N) + 0.0 # 观测到的位置,做匀速直线运动, 0, 1, 2, 3,...
noise = np.random.randn(N) # 观测的位置加上1的噪声
z += noise
X = np.array([5, 5]).reshape(-1, 1) #状态初始化
P = np.array([[0, 0], [0, 0]]) # 状态协方差矩阵初始化
F = np.array([[1, 1], [0, 1]]) # 状态转移矩阵
Q = np.array([[0.0001, 0], [0, 0.0001]]) #状态转移协方差矩阵
H = np.array([1, 0]).reshape(1, -1) #观测矩阵
R = 1 # 观测噪声
# 迭代过程
for i in range(N):
X_ = np.matmul(F, X)
P_ = np.matmul(np.matmul(F, P), F.transpose()) + Q
K = np.matmul(
np.matmul(P_, H.transpose()),
np.linalg.inv(
np.matmul(np.matmul(H, P_), H.transpose()) + R
)
)
X = X_ + np.matmul(K, (z[i] - np.matmul(H, X_)))
P = np.matmul(np.array([[1, 0], [0, 1]]) - np.matmul(K, H), P_)

来源:https://www.cnblogs.com/skykill/p/12000524.html