0/0, ∞/ ∞ 未定式的处理:
洛必达法则:(适用于 0/0型 未定式)
内容: 若 lim f(x)/F(x) = 0/0, 则有 f(x) / F(x) = lim f'(x) / F'(x) ,注意,它对于: x-> A 或者 x-> ∞都适用。
前提: lim f'(x) /F'(x) = A 或者 ∞;
若lim f(x)/ F(x) = ∞/ ∞, 也可以适用洛必达法则;
趋于∞的速度,对数函数 < 幂函数 < 指数函数.
对于较为复杂的式子,应当及时分离 非零 极限的乘积 因子,可减少计算量。 此外,可使用等价无穷小的替换。(前提是必须为等价无穷小才行)。
常见的三个等价无穷小:
1.指数: ![]()
2.对数: ln(1 + x) ~ x;
3.幂数: ![]()
其它未定式的处理:
1. ∞*0 型未定式:
lim f(x)*g(x) ----简单因子放入分母--->
, 即 转化为: 0/0 ,或者 ∞/∞;
2.∞-∞型未定式:
lim [ f(x) - g(x)] --->通分 或者 分母 有理化 ; 即 将 整式 转换为 分式;
eg: lim sec x - tan x , x-> π/2; ![]()
3.幂指函数:
方法见之前的笔记。
eg: lim x^x,x -> 0+;
; 
泰勒公式:
内容: 设 f(x) 再 x0 处有 n 项导数,则 存在 x0 的一个领域,对于该领域 内任一点x 有:
f (x) = f(x0) + f'(x0)(x-x0) + f''(x0) / 2! * (x-x0)^2 + ...... + f^n(x0) / n! * (x-x0)^n + Rn(x);
其中,Rn(x) 为 余项, Rn(x) = O( (x-x0)^n), 读作: Peano余项。
泰勒中值定理:
内容: 若f(x) 在 x0 的领域内存在 直到 n+1 阶 的导数,则x0 的某个领域内有:
f(x) = f(x0) + f'(x0)(x-x0) + f''(x0) / 2! * (x-x0)^2 + ...... + f^n(x0) / n!(x-x0)^n + Rn(x).
其中,Rn(x) = f^(n+1) (ξ) / (n+1)! * (x-x0)^ (n+1), ξ在 x 与 x0 之间 ;Rn(x) 称为 拉格朗日余项
即 ξ = θx + (1-θ)x0, θ∈(0,1);
麦克劳林公式:
内容: 泰勒公式在x = 0 时的情况:
即 f(x) = f(0) + f'(0)*x + f''(0)/2! * x^2 + ...... + f^n(0) /n! * x^n + Rn(x)
带拉格朗日余项的麦克劳林公式: Rn(x) = f^(n+1) (θ*x)/(n+!)! * x^(n+1), θ∈(0,1);
常见的麦克劳林公式:
1.余弦: ![]()
2.正弦: 
3.指数: 
4.对数: ![]()
5.幂数: ![]()
补充:tanx的前几项泰勒展开式:

驻点,可能为不可导点,也可能为极值点。
极值的第一充分条件:
1.点x0处连续;
2.点 x0 的去心 领域可导;
3.f'(x0-) 与 f'(x0+) 导向
极值的第二充分条件:
1.f'(x0) =0,且f''(x0)=/= 0;
2.若 f''(x0) <0,f(x0) 为极大值
3.若 f''(x0) >0,f(x0) 为极小值
曲线的凹凸性:
1.
,即 弦终点 > 弧中点,为上凹, 此时 f''(x) >0; 即一阶导递增,斜率值逐渐变大;
2.
,即 弦终点 < 弧中点,为上凸, 此时 f''(x) <0; 即一阶导递减,斜率值逐渐变小;
曲线凹凸性的判定定理:
若f(x) 在 [a,b] 连续,在(a,b) 上二阶可导,则 f''(x) <0 时,为凸; 若 f''(x) >0,为凹。
拐点: f''(x0) =0,拐点指: (x0,f(x0) )
可能出现拐点的是: f''(x) =0的点 或者 f''(x0) 不存在的点。
求驻点 或 拐点 的步骤:
1.确定定义域;
2.寻找驻点;(一阶导的时候,已经包括寻找不可导点。)
3.寻找不可导点;(二阶导确定不可导点,必须根据一阶导确定。)
斜渐进线:(称之为线,但是它只在某一点有意义。)
y=kx+b, 其中,
, ![]()
不定积分:
1.定义: 连续函数一定有原函数,且原函数可导,且不唯一。
运算式: ![]()
其中,
称为积分号, f(x) 称为 被积函数; dx 称为: 积分变量; F(x) 称为 原函数, C为 常数
2.常见函数不定积分表:
1. 原一次幂函数: ∫k dx = kx +C
2. 原普通幂函数: ∫ x^u dx = x^(u+1) / (u+1) + C
3. 原对数函数: ∫ 1/x dx = ln|x| +C
4. 原三角函数相关:
原正弦: ∫ cosx dx = sinx +C
原余弦: ∫ sinx dx = - cosx +C
原正切: ∫ 1/cos^2(x) dx= ∫sec^2(x) dx = tanx + C
原正割: ∫ sec(x)*tanx dx = sec x +C
原余割: ∫ csc (x)*cotx dx = -csc x + C
原余切: ∫ 1/sin^2(x) dx =∫ csc^2(x) dx = -cot x +C
原反正弦: ∫ x/ √(1-x^2) dx = arc sin x +C
原反余弦:待定
原反正切: ∫ x/(1+ x^2) dx = arc tanx + C
原反正割: 待定
原反余割:待定
原反余切:待定
5. 原指数函数:
普通指数: ∫ a^x dx = a^x / ln(a) + C
特殊指数: ∫ e^x dx = e^x +C
补充常见不定积分公式:


常见的积分联想:
1. 1/(x^2 +1) ~ arc tan x
2. tan^2(x) ~ sec^2(x)
3. sin^2(x/2) ~ 二倍角公式;
二倍角公式:
1. sin^2(x) = (1- cos 2x) /2;
2. cos^2(x) = (cos 2x +1) /2;
3. cos 2x = 2*(cosx)^2 -1 = 1- 2*(sinx)^2;
换元积分法:
第一类换元法:
若 ∫ f(u) du = F(u) + C, F'(u) = f(u), 则 ∫ f( g(x) ) * g'(x) dx = [ ∫ f(u) du ], u = g(x);
关键: 1.外函数可积; 2.内函数凑微分;
eg: 

![]()

常见微分收纳等式:
1. 幂函数相关: ∫ f(x^n)*x ^(n-1) dx = 1/n ∫ f(x^n) d x^n
2x dx = d x^2
1/x^2 dx = - d 1/x
1/√x dx = 2d√x
1/x dx = d lnx
2.三角函数相关:
sinx dx = - dcos x
cos x dx = dsinx
割与切的关系:
(tanx)^2 +1 = (secx)^2;
(cotx)^2 +1 = (cscx)^2;
∫csc x dx = ln | csc x - cot x | +C
∫ sec x dx = ln | sec x + tan x| + C
∫ tanx dx = - ln|cos x| + C
∫ cot x dx = ln |sin x| + C
三角函数积化和差公式:
sinxcosy =1/2 *[s(x+y) + s(x-y)]
cosxcosy =1/2 *[c(x+y) + c(x-y)]
sinxsiny = -1/2 *[c(x+y) - c(x-y)]
3.指数: e^x dx = d e^x;
第二类换元法(反解x):
步骤: 1.换元: x= g(t) ;
2. dx = g'(t)dt
3.求出 F(t) + C ,回代: t = g^(-1) (x), 反函数。
常见代换:
1.有理代换:(一次式,一次式相除)
∫ (
)dx ,令 u =
求解;
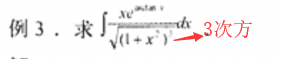
2.三角代换(二次式):
, 可令: x = asin t
, 可令: x = a sec t
, 可令: x = a tan t , 或者 a cot t ;
注意: 三角代换的回代 , 需要使用 勾股定理;
3.倒数代换:(分母较高时适用)
即 令 x = 1/t, 求解。
分布积分法:
1.形式一: ∫ u v' dx = uv - ∫u' vdx, 步骤: 观察 --》 凑微分---》 分步积分
原则: 1.dv要容易凑出; 2. ∫vdu 比 ∫u dv 容易;
2. 形式二:∫ udv = uv - ∫vdu
总结(注意,这里的uv是形参,虽没有实际意义,但是一旦确定,它便具有了位置属性。从形参而言,默认v的复杂度是要高于u的。 原函数中,v'是将复杂度高的函数进行展开,加大整体复杂度; ∫vdu则是期望uv二者均往小的复杂度上运算):
uv的选取:
幂函数 与 指数函数,对数函数相乘时,幂函数 作为 u;
相对的,当幂函数与 对数,反三角函数相乘时,选幂函数 作为 v;
基本函数中,选取u的优先级: 反,对,幂,指,三;
2019.3.6修改有误笔记: 反对幂三指。
注: 微分收纳的前提: 内部一致,eg: cos 3x dx =/= d sin3x = 1/3 dsin3x
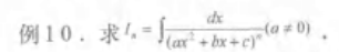
有理函数的积分:(拆分式)
有理函数的分类:
1.真分式: 分子最高次< 分母最高次
2.假分式: 分子最高次> 分母最高次
真分式:
对真分式p(x)/q(x),若分母可分成 两个 多项式 乘积, 即 q(x) = q1(x1)*q2(x2),且它们无公因式,则它们一定可以拆分成两个真分式之和。 即:
二次多项式不能拆分,则能拆分成 a^2 + b^2的方式;
补充:循环分布积分法




![]()
![]()

![]()

![]()
![]()
![]()
来源:CSDN
作者:Automannnn
链接:https://blog.csdn.net/qq_36285943/article/details/85209257