RNN
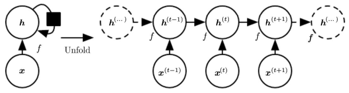
Recurrent Neural networks(Rumelhart, 1986) 主要用来处理序列型数据,具有对以往数据的记忆功能。下图所示,输入为input和一个状态Hidden0,输出为output和Hidden1.
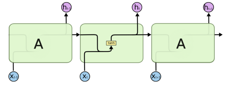
一般地,对输入到RNN进行处理的第个数据,也就是第时刻,输出的隐藏状态可以表示为
在RNN对序列数据进行处理时,采用参数共享机制,即权重是相同的。RNN有很多变体,上述的是最简单的一种形式,中间也可以输入。标准RNN如下:
对时刻,更新的方程为:
在实际中使用nn.RNN()模块即可实现标准RNN的调用,下面通过讲解函数中的参数来具体讲解RNN的实用。nn.RNA有如下参数:
- input_size:输入的特征数量
- hidden_size:隐藏状态的特征数量
- num_layers:网络层数,默认为1层。若2层,两个RNN单元进行堆叠,第2个RNN单元将第1个RNN单元的作为输入。
- nonlinearity:实用tanh或ReLU,默认是tanh
- bias:False代表不使用偏置和,默认为True。
- batch_first:决定输入数据的维度顺序。默认输入是(seq,batch,feature),分别是RNN序列长度,批量数,特征维度。True表示(batch,seq,feature).
- dropout:接收一个0~1的数值,会在网络除最后一层之外的其他输出层加上dropout层,默认为0
- bidirectional:如果是True,表示双向的RNN。
维度流程详解:
RNN接受一个序列输入with维度(seq,batch,feature)和记忆输入with维度(num_layers*num_directions,batch,hidden),num_layers表示RNN单元堆叠的层数,num_directions为1(单向RNN)和2(双向RNN),双向RNN就是从左向右计算一次之后再从右向左计算一次,hidden就是输出维度。网络输出为output和。output表示每个时刻网络最后一层的输出,维度是(seq,batch,hidden*num_directions),即将双向的特征拼接起来。是最后时刻所有堆叠的记忆单元的所有输出,维度为(num_layers*num_directions, batch,hidden)
>>> import torch.nn as nn
>>> rnn = nn.RNN(10, 20, 2)
>>> input = torch.randn(5, 3, 10)
>>> h0 = torch.randn(2, 3, 20) # h0不初始化则全部为0
>>> output, hn = rnn(input, h0)
建立了一个堆叠了2层的RNN,可通过如下的属性获得权重和偏置参数:
- RNN.weight_ih_l[k]: 表示第层的input-hidden权重。如果,表示第0层维度为(hidden_size,input_size),其他层的维度为(hidden_size,num_directions*hidden_size),接收第层传来的hidden特征。
- RNN.weight_hh_l[k]: 表示第层的hidden-hidden权重,维度是(hidden_size,hidden_size),接收第时刻第层的hidden特征。
- RNN.bias_ih_l[k]: 表示第层的input-hidden的偏置,维度为(hidden_size)
- RNN.bias_hh_l[k]: 表示第层的hidden-hidden的偏置,维度为(hidden_size)
>>> rnn.weight_ih_l0.size()
torch.Size([20, 10])
>>> rnn.weight_ih_l1.size()
torch.Size([20, 20])
>>> rnn.weight_hh_l0.size()
torch.Size([20, 20])
>>> rnn.weight_hh_l1.size()
torch.Size([20, 20])
如果误差为负对数似然,则误差为:
RNN的缺点:
根据前面的介绍可以了解RNN对以往数据的具有记忆性,但是存在的问题就是具有遗忘性,总是更加清楚地记得最近处理的记忆而遗忘之前发生的事情,只能很好地解决短时依赖的问题。因为梯度在反向传播的时候, 初始阶段的数据产生的梯度会由于指数级的相乘而很小。
来源:CSDN
作者:winycg
链接:https://blog.csdn.net/winycg/article/details/88937250