1.写在前面:我始终觉得,对于一个问题要知其然,更要知其所以然。Lucas定理在刚刚接触数论的时候就知道了,因为这是一个很常用的定理,常常和中国剩余定理放在一起考。最近在组合数学上出现了很多问题,但是都是找个结论就过去了。浑浑噩噩并不懂其中原理,感觉自己的数学直觉一直在下降,以前我甚至能够从数据中看出来数学表达式,后来学了很多的工具,就变懒了,甚至连一个稍微复杂一点的积分都懒得动手,直接自适应Simpson积过去。今天又拿起了笔,准备把Lucas定理自己证明一遍。证完之后,我似乎又看到之前的那个影子:不畏惧任何数学表达式,即使推导了十几页也毫不畏惧。废话到此结束,正题开始。
2.Lucass定理:

Lucas定理是同余理论中的一个很重要的定理,用于组合数取模。常常使用在问题的结果需要对某个数据取模,n,m很大,达到1e15以上,但是p在1e9以内。一般来说最好的效果实在1e5以内。看到这个式子,一个十分典型的递归,并且注意到p是素数。所以我们就会有很多疑问:这个定理怎么来的?p为什么一定要是素数?p不是素数可以吗?我们来解决这些问题。
3.在解决这个问题之前,我想说一个问题:记得是ZOJ的某次月赛吧,问题就是求:
. 其实说白了,就是统计杨辉三角形每一行中有多少个奇数。这个问题当时我打了个表,看出了规律。结论和i和n的二进制有关,但是为什么呢?
4.首先证明Lucas定理。
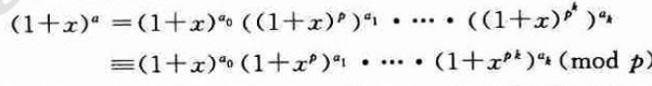
Lucas定理在数论中表述是这样的:

解释一下:其实就是把a,b在p进制下表示出来,然后发现C(a,b)是和后边的式子同余的。这个式子写成递归就是上边的递归形式下的Lucas定理。递归形式下的更加易于编程,但是由于递归的存在,p不能过大。问题来了,这个结论怎么来的?继续证明。
----多项式同余-----
首先介绍一个辅助工具:多项式下的同余,其实也很容易:
. 其中对于任意的
都有:ai和bi对同余,那么就说这两个多项式是同余的。
知道了这些,我们还需要明白这样一个结论:
%n=0,对于所有的
成立的条件是:n是质数。这个很容易证明,就不再证了。其实这里也说明了,为什么Lucas定理要求p一定是质数,而且,从这里我们也可以找出来p不是质数该如何处理。这个我们后边再讲。这样我们来看一个性质:
。这个证明可以用上边的结论证;
. 我们知道中间的所有项mod p是0,所以只有第一项和最后一项。那么上式得证。
那么我们对于一般的式子:
我们把a拆分成p进制:

对于这个等式,在等式的左边,我们考虑x的b次方的系数:C(a,b)那么对于右边,其实就是在每个乘积式子中拿出一些凑出b。前边公式我们知道:
.也就是b在p进制下的拆分,所以对于每一个乘积式子,拿出bi。由乘法原理:C(ai,bi)的乘积即使左边x的b次方的系数。根据多项式相等的原则,我们推出:
![]()
到了这里,Lucas定理得证。我们回答了第一个问题,Lucas定理是怎么来的。其实也回答了第二个问题,为什么p要是素数?因为只有p是素数才满足:
对于所有的j<=p-1是成立的。那么p不是素数行吗?这个问题我们最后回答,先回答第四个问题:二项式系数:C(n,i)里面对于每一个n到底有多少个奇数?
5.二项式系数奇偶以及更加一般的C(a,b)%p=0的问题。在二项式系数中,判断是不是奇偶,其实是就是在判断:C(n,i)%2==0?.那么根据Lucas定理,这里的素数就是2.我们考虑
这个式子:把n,i的二进制数位分别写出来,如果存在ai<bi,这个组合数就是0.显然是个偶数。所以我们猜想充分必要条件就是对于每一个数位,ai必须要大于bi.现在我们正面考虑:对于每一个ai>=bi,相等的时候是显然成立的。大于的时候,这个地方就是C(1,0)=1,乘起来必然是一个奇数。所以猜想得证:C(n,i)%2=1的充分必要条件是:对于i和n的二进制数位,n的每一位必须大于等于i的每一位。然后考虑每一层二项式奇数有多少?假设我用f(x)表示x的二进制数位中1的个数,对于所有的i属于[0,n],C(n,i)%2是奇数的个数就是:pow(2,f(n-1))。为什么?上边我已经证明了80%,接下来可以自己证明。那么这个结论是不是可以推广呢?答案是可以的,因为我们上来其实就说明了一个很重要的观点:a,b需要在p进制下观察,才能更好的认识这个问题。在我们证明二进制下的结论的时候,并没有很特殊的假设,只是建立在2是个质数这个结论上,所以对于所有的质数,都是成立的。那么我们可以得出下边的推论:
对于C(a,b)%p=0,p是质数。这个式子成立的条件是,对于a,b在p进制下的数位:ai,bi.只要存在一对数位使得ai<bi即可。
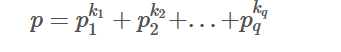
6.p不是质数的处理:p不是质数,就显得很棘手了。但是我们没有办法修改Lucas定理,所以只能把P变成质数,通过质因数分解

那么列出同余方程:

得到了这个,我们就可以用中国剩余定理来合并答案。问题转化为如何求:
这个式子的值。
我们把组合数展开:

尝试着把n!中所有pi的倍数分离,然后神奇的性质就出现了。发现n!%pi是有循环节的。这样,我们一边递归n!,一边快速幂即可求出答案。
最后放几个链接:
HDU3037:这是个裸题,直接就是结论了,C(n+m,m)%p.采用Lucas定理即可。
最后,给出HDU3037我AC的代码:
#include<bits/stdc++.h>
using namespace std;
typedef long long ll;
ll n, m, p;
ll Ext_gcd(ll a, ll b, ll &x, ll &y)
{
if (b == 0) { x = 1, y = 0; return a; }
ll ret = Ext_gcd(b, a%b, y, x);
y -= a / b * x;
return ret;
}
ll Inv(ll a, int m)
{
ll d, x, y, t = (ll)m;
d = Ext_gcd(a, t, x, y);
if (d == 1) return (x%t + t) % t;
return -1;
}
ll Cm(ll n, ll m, ll p)
{
ll a = 1, b = 1;
if (m > n) return 0;
while (m)
{
a = (a*n) % p;
b = (b*m) % p;
m--;
n--;
}
return (ll)a*Inv(b, p) % p;
}
int Lucas(ll n, ll m, ll p)
{
if (m == 0) return 1;
return (ll)Cm(n%p, m%p, p)*(ll)Lucas(n / p, m / p, p) % p;
}
int main()
{
int T;
cin >> T;
while (T--)
{
scanf("%lld%lld%lld", &n, &m, &p);
printf("%d\n", Lucas(n + m, m, p));
}
return 0;
}
参考书籍:冯志刚《初等数论》
来源:CSDN
作者:MatrixYg
链接:https://blog.csdn.net/weixin_41863129/article/details/88900225