计算机网络
练习(一百一十七)
-
任意播地址的组成为()
A. 子网前缀 + 全 0
B. 子网前缀 + 全 1
C. 链路本地地址前缀 + 全 0
D. 链路本地地址前缀 + 全 1----------------------------------------
答案:
A
解析:
无 -
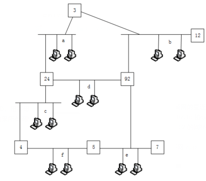
下图表示一个局域网的互连拓扑,方框中的数字是网桥 ID,用字母来区分不同的网段。按照 IEEE 802.1d 协议,ID为(1)的网桥被选为根网桥,如果所有网段的传输费用为 1,则 ID 为 92 的网桥连接网段(2)的端口为根端口。

问题1:
A. 3
B. 7
C. 92
D. 12
问题2:
A. a
B. b
C. d
D. e----------------------------------------
答案:
A
B
解析:
① 802.1 d 中规定,网络中的交换机相互比较网桥 ID,ID 小的作为根桥,若 ID 相同,进一步比较 MAC 地址,MAC 地址小的选为根桥。
② 非根网桥的根端口选择问题,依据是自己到根桥传输费用最低端口就是根端口。由于每个网段的费用都是 1,因此 B 到根桥的费用就是 1,而通过 d-a 到根桥的端口是 2,因此 b 这一端是根端口。【看端节点数量吧~!】 -
下面的地址中,属于单播地址的是()
A. 172.31.128.255/18
B. 10.255.255.255
C. 192.168.24.59/30
D. 224.105.5.211----------------------------------------
答案:
A
解析:
B - 广播地址
C - 广播地址
D - 多播地址
单播地址:一个网络接口的地址。送往一个单播地址的包将被传送至该地址标识的接口上。
组播地址:一组接口(一般属于不同节点)的网络地址。送往一个组播地址的包被传送至有该地址标识的所有接口上。
广播地址:一个网段里的所有节点。送往这一个广播地址的包将送至网段内所有的节点。
相关内容转载自:希赛网 app
点我回顶部 ☚
Fin.
来源:CSDN
作者:小黑LLB
链接:https://blog.csdn.net/Enderman_xiaohei/article/details/102645685
