隐马尔科夫模型一(概念理解)

…衆ロ難τιáo~ 提交于 2019-12-06 14:30:00

前言

由于前一段时间在看CTC论文,里面用到了HMM中的前向后向算法,推公式的时候·一脸懵逼,所以又来学习HMM的思想,所以写篇博客做个笔记。本部分博客分为两篇,第一篇主要介绍一些基本的概念和思想,第二篇介绍理论的推导。博客的内容主要是基于<<统计学习方法>>以及其他的一些博客

模型概念

隐马尔可夫模型:隐马尔科夫模型是关于时序的概念模型,描述了由一个隐藏的马尔科夫链随机产生不可观测的状态随机序列,再由各个状态生成一个观测而产生的观测随机序列的过程。隐藏的马尔科夫链随机生成的状态序列成为状态序列:每个状态生成一个观测,而由此产生的观测的随机序列,称为观测序列。序列的每一个位置又可以看作一个时刻。

当第一次看到上述描述时估计大都数人都会和我一样一脸蒙逼,什么是状态序列,什么又是观测序列?还有隐马尔可夫链又是神马?

举个例子,假设你有一个住得很远的朋友,他每天跟你打电话告诉你他那天做了什么.你的朋友仅仅对三种活动感兴趣:公园散步,购物以及清理房间.他选择做什么事情只凭天气.你对于他所住的地方的天气情况并不了解,但是你知道总的趋势.在他告诉你每天所做的事情基础上,你想要猜测他所在地的天气情况。其实这个就是一个隐马尔科夫模型。每一天天气的变化就是一个隐马尔科夫链(即不同状态之间的转换),其有两个状态 “雨"和"晴”,但是你无法直接观察它们,也就是说,它们对于你是隐藏的.每天,你的朋友有一定的概率进行下列活动:“散步”, “购物”, 或 “清理”. 因为你朋友告诉你他的活动,所以这些活动就是你的观察数据。这整个系统就是一个隐马尔可夫模型HMM。

对于上述的例子而言,如果连续持续多天,你的朋友可能根据不同的天气进行不同的活动(当然,这里有一个前提,你的朋友在同一天只能进行一种活动),这几天天气的变化的就是一个隐藏的状态序列,比如说连续五天的天气为[‘晴’,‘雨’,‘雨’,‘晴’,‘雨’](这是在你不看天气预报的前提下o(╯□╰)o),而你的朋友每一天做的活动就组成了观测序列。这样看起来是不是简单多了。如果对这个例子还是不太理解,推荐看看参考资料[2]。

有了上面的例子,下面可以对隐马尔可夫模型进行符号化的定义。

定义

隐马尔科夫模型有初始概率分布、状态转移概率分布以及观测概率分布确定,其形式化定义如下:

QQ是所有可能状态集合,VV是所有可能的观测的集合
Q={q1,q2,...qN},V={v1,v2..vM}Q=\{q_1,q_2,...q_N\},\quad V=\{v_1,v_2..v_M\}
其中NN是可能的状态数,MM是可能的观测数。

II是长度为TT的状态序列,OO是对应的观测序列。
I=(i1,i2...iT),O=(o1,o2,...,oT)I=(i_1,i_2...i_T),\quad O=(o_1,o_2,...,o_T)
A是状态转移矩阵:
A=[aij]N×NA=[a_{ij}]_{N\times N}
其中

aij=P(it+1=qjit=qi),i=1,2,...,N;j=1,2,...,Na_{ij}=P(i_{t+1}=q_j|i_t=q_i),\quad i=1,2,...,N;j=1,2,...,N
表示的是tt时刻处于qiq_i的条件下在t+1t+1时刻状态转移到qjq_j的概率。

B是观测概率矩阵:

B=[bj(k)]N×NB=[b_j(k)]_{N\times N}
其中

bj(k)=P(ot=vkit=qj),k=1,2,...,M;j=1,2,...,Nb_j(k)=P(o_t=v_k|i_t=q_j),\quad k=1,2,...,M; j=1,2,...,N

是在时刻t处于状态qjq_j的条件下生成观测vkv_k的概率

π\pi 是初始状态概率向量:

π=(πi)\pi=(\pi _i)
其中:

πi=P(i1=qi),i=1,2,...,N\pi_i=P(i_1=q_i),\quad i=1,2,...,N

所以隐马尔科夫模型λ\lambda可以用三元符号表示,即:

λ=(A,B,π)\lambda=(A,B,\pi)

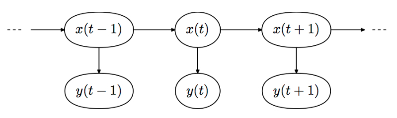
状态转移矩阵AA和初始状态概率π\pi确定隐藏的马尔科夫链,生成不可观测的状态序列,观测概率矩阵BB确定了如何从观测状态生成观测序列。这里从wiki上面盗一张图,上面的xx即对应的状态序列,yy表示的是观测序列:

隐马尔科夫模型的两个性质:

(1)齐次马尔科夫性假设,即使设隐藏的马尔科夫链在任意时刻tt的状态只依赖于前一时刻的状态,与其他时刻的状态以及观测无关。

P(itit1,ot1,...,i1,o1)=P(itit1)P(i_t|i_{t-1},o_{t-1},...,i_1,o_1)=P(i_t|i_{t-1})

这句话是什么意思呢?以上面的图为例,假设x(t)x(t)表示的状态是前面例子里面的天气,那么x(t+1)x(t+1)的天气与x(t1)x(t-1)的天气无关,只与x(t)x(t)的天气有关。并且也与y(t+1)y(t+1)无关。

(2) 观测独立性假设,即假设任意时刻的观测只依赖该时刻的马尔科夫链的状态,与其他观测和状态无关。

P(otiT,oT,iT1,oT1,...,i1,o1)=P(otit)P(o_t|i_T,o_T,i_{T-1},o_{T-1},...,i_1,o_1)=P(o_t|i_t)

意思即为观测状态oto_t只与对应的iti_t有关。而与其他的状态无关。下面以一个具体例子帮助理解。

盒子与球模型

假设有4个盒子,每一个盒子里面都装有红白两种颜色的球,盒子里面的红白求数有下面表格给出。

盒子 1 2 3 4
红球数 5 3 6 8
白球数 5 7 4 2

按照下面的方法抽球,并且产生一个关于球的颜色观测序列:首先从四个盒子中等概率随机抽取一个求。记录颜色然后放回盒子,然后根据当前的概率随机转移到下一个盒子。规则是:当前盒子为1,下个盒子一定是2,当前盒子为2或者3。分别以0.4和0.6的概率转移到左边或者右边的盒子,如果当前盒子为4,那么各以0.5的概率转移到盒子3或者停留在盒子4。随机抽取一个球,如此重复5次,得到一个球的颜色的观察序列:

O={,,,,}O=\{红,红,白,白,红\}

上述过程中,球的颜色序列为观测序列,而抽取的盒子的序列为状态序列。为了清楚表示状态之间的转换,我们将抽盒子规则用马尔可夫链表示出来。

所以盒子对应的状态集合是

Q={1,2,3,4}Q=\{1,2,3,4\}

球的颜色的观测集合为:

V={,}V=\{红,白\}
状态序列和观测序列的长度T=5T=5

初始分布概率为

π=(0.25,0.25,0.25,0.25)\pi=(0.25,0.25,0.25,0.25)

状态转移概率分布为

A=[01000.400.6000.400.6000.50.5]A= \left[ \begin{matrix} 0 &amp; 1 &amp; 0 &amp; 0 \\ 0.4&amp; 0 &amp; 0.6 &amp; 0\\ 0 &amp; 0.4 &amp; 0 &amp; 0.6\\ 0 &amp; 0 &amp; 0.5 &amp; 0.5 \end{matrix} \right]

观测序列为

B=[0.50.50.30.70.60.40.80.2] B= \left[ \begin{matrix} 0.5 &amp; 0.5\\ 0.3 &amp; 0.7 \\ 0.6 &amp; 0.4 \\ 0.8 &amp; 0.2 \end{matrix} \right]

三个基本问题

马尔科夫模型的3个基本问题。

(1)概率计算问题。给定模型λ=(A,B,π)\lambda=(A,B,\pi)和观测序列O=(o1,o2,...,oT)O=(o_1,o_2,...,o_T)计算在模型λ\lambda下观测序列为OO的概率P(Oλ)P(O|\lambda)

(2)学习问题。已知观测序列O=(o1,o2,...,oT)O=(o_1,o_2,...,o_T),估计模型λ=(A,B,π)\lambda=(A,B,\pi)的参数,使得在该模型下观测序列概率P(Oλ)P(O|\lambda)最大。

(3)预测问题,也成为解码问题。已知模型λ=(A,B,π)\lambda=(A,B,\pi)和观测序列O=(o1,o2,...,oT)O=(o_1,o_2,...,o_T),求对给定的观测序列概率P(IO)P(I|O)的最大值。即给定观测序列,求最有可能的对应状态序列。

三个问题的联系

下面这段是个人理解,可能存在偏差。比如我们以语音识别为例,状态序列对应着我们的输入语音,观测序列对应着输出的标签。学习问题应该是用在训练阶段,给定输入标签以及参数,,训练模型。预测问题则是用模型进行测试,给定了模型和输入,利用模型预测结果。至于第一个问题,应该是被用在训练阶段计算观测序列的概率。关于三个问题的详细推导将在下一张介绍。

参考资料

[1].隐马尔科夫模型,维基百科

[2].漫谈 HMM:Definition, pluskid的博客

[3].统计学习方法,李航

[4].数学之美,吴军

易学教程内所有资源均来自网络或用户发布的内容,如有违反法律规定的内容欢迎反馈
该文章没有解决你所遇到的问题?点击提问,说说你的问题,让更多的人一起探讨吧!