S参数代表’散射’参数。它是表示通过各种不同路径的信号分量之间的一种功率比的参数。
假设我们有一个标记为“M”的组件,如下所示。现在,您在端口1向器件输入(冲击)信号。信号将到哪里去了?理想情况下,这个信号(能量)会有三条可能的传输路径:
i)击中器件并向端口1弹回的部分
ii)通过器件并向端口2行进的部分
iii)因不可用的能量而损失的部分(例如,热量)
现在,您在端口2向器件输入(冲击)信号。信号将在哪里?理想情况下,这个信号(能量)也会有三条可能的传输路径:
i)撞击器件并向端口2弹回的部分
ii)通过器件并前往端口1的部分
iii)因不可用的能量而损失的部分(例如,热量)
上面列出的可能路径如下所示,这个插图中唯一缺失的部分是作为异常能量而丢失的部分。

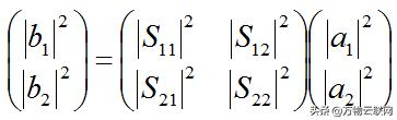
S参数的定义以数学形式定义,如下所示。从这个等式中,你会得到一张大的全貌,说“S参数(矩阵)定义了撞击到设备每个端口的信号与远离设备的部分之间的关系”:

这是器件只有两个端口(一个输入和一个输出),S参数矩阵是2 x 2的情况。在进入每个参数的含义之前,我想让你理解参数的基本符号。 S参数有两个下标,每个下标的含义如下所示:

在测量这些S参数时,我们不会同时将信号放到两个端口。首先,我们将信号放到一个端口并测量一半S参数,然后我们将信号放到另一个端口并测量剩余的一半S参数。
设备(例如,网络分析仪)通过输入来自端口1和接地端口2的信号来测量S11,S21。从该设置,我们可以得到两个S参数,如下所示:


设备(例如,网络分析仪)通过输入来自端口2和接地端口1的信号来测量S22,S12。从该设置,我们可以再得到另外两个S参数,如下所示:

