计算机的高速缓存
高速缓存的工作原理
字与字块的概念
字:是指存放在一个存储单元中的二进制代码组合
字块:存储在连续的存储单元中而被看作是一个单元的一组字
字与字块和主存的总容量
字的地址表示方法和计算方法
块地址和块内地址b的计算
高速缓存的命中率
CPU可以从高速缓存中和主存中获取数据,前者的效率比后者高。
命中率:判断CPU从高速缓存中获取数据几率的指标。
命中率的计算公式
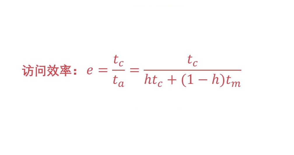
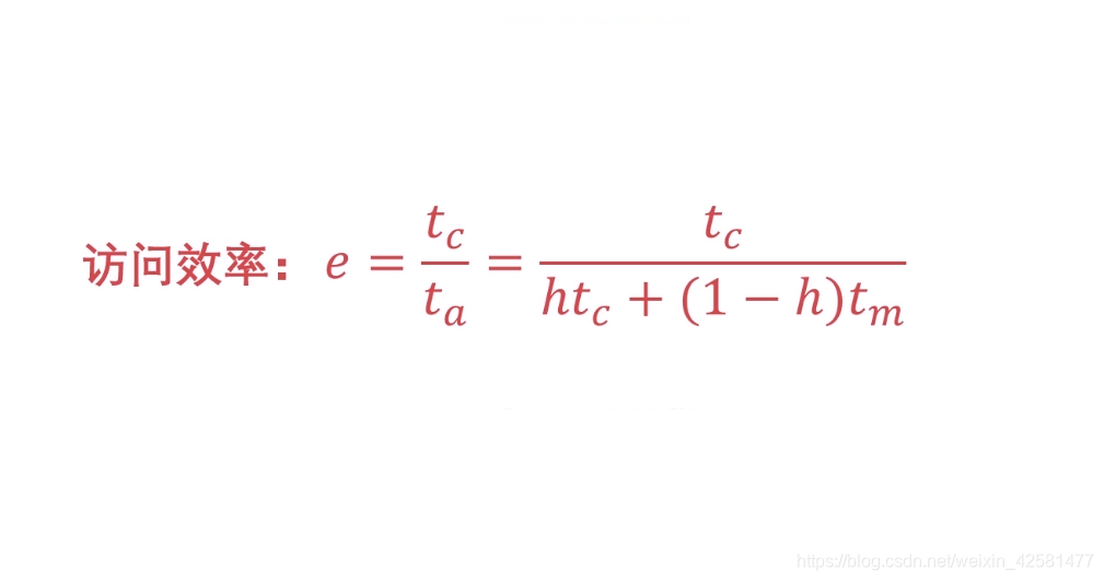
访问效率
访问缓存-主存系统平均ta的计算
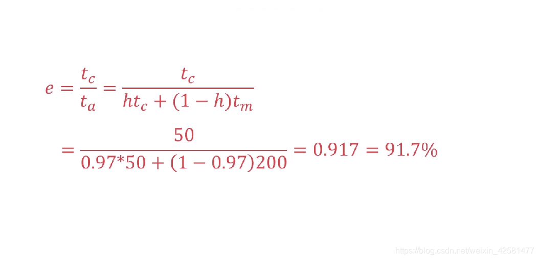
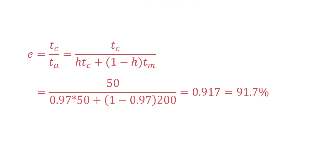
计算命中率、访问效率和平均时间的例题
访问效率:
平均访问时间:
高速缓存的替换时机
高速缓存的替换策略
随机算法
先进先出的算法(FIFO)
把高速缓存看做是一个先进先出队列
优先替换最先进入队列的字块
最不经常使用的算法(LFU)
优先淘汰最不经常使用的字块
需要额外的空间纪录字块的使用频率
最近少使用算法(LRU)
优先淘汰一段时间内没有使用的字块
有多种实现方法,一般使用双向链表
把当前访问节点置于链表前面(保证链表头部节点是最近使用的)
来源:https://blog.csdn.net/weixin_42581477/article/details/99062643










