# 2020张宇1000题·数一·刷题记录
## 第一篇 高等数学
### 第1章 极限、连续
#### 一、函数极限(1.1-1.46)
1. 分母等价替换,分子泰勒展开到x²项,或对式子求两次导。
2. 分母虽然是相减但是满足要求,可以直接用等价替换。分子两个函数都得泰勒展开到x³项,或对式子求三次导。答案的求导再拆分再求导太麻烦了。
3. (0-0)/0型,拆分分母变成两个极限相加,左边提取往e^x-1~x上靠,然后左右两遍都可以直接等价替换了。
4. 方法一中的泰勒展开式,展开到第二项与第三项,结果算出来是不一样的。应该是分子无穷小的阶数要大于等于分母的阶数才行。
5. 另一种方法,一次求导之后再拆分。
6. 式子太复杂不可能用求导,而分子分母都是加减形式,所以要先判断分子分母情况,才能确定能否直接等价替换。
${\begin{cases}{\lim \limits_{x \to 0}\dfrac{(3+tanx)^x}{3^x}=\dfrac{1}{1}=1}&分子相减等于0。 \\{\lim \limits_{x \to 0}\dfrac{3sin^2x}{x^3cos\dfrac{1}{x}}=\dfrac{3}{xcos\dfrac{1}{x}(0·有界)}=\infty \neq-1}&分母相加不等于0。 \end{cases}}$
故分子相减不能用等价无穷小替换,换个思路,提取3的x次方,往e^x-1~x上靠。
而分母相加可以用直接用等价无穷小替换。
7. 别想太复杂,一次求导以后直接代值。
8. 积分式求导,被积分的式子里面的积分也要相应的替换。
9. 用t替换1/x,再求导。
10. 拆分,再求导。
11. 同1.9,$(a^t-a^{-t})'=lna(a^t+a^{-t})$。
12. 方向走偏了,需要改写+通分,再求导一次即可。
13. 换元法,第一个根式不用改写,但需要通分化简,再一次求导。
14. 通分,$x \to 0,1-e^{-x} \sim x \sim е^x-1$,等价替换,再两次求导。
15. 0⁰型,改写,拆分,一次求导。
16. 改写,发现此题中ln里面的一坨不再是趋向于1,而是无穷,没法拆分等价替换。答案是直接硬求导,三层函数嵌套爽歪歪,然后化简。
还求不出来,继续让分子分母都保持存在函数,再次求导,结果分子是常数,分母趋向于无穷。
原式$=\lim \limits_{x \to \infty}e^{\frac{4}{1+2x}}$。
就这结果还真就成了最终答案,一般都会怀疑这种。。。
总结:坚定求导就对了;另外,1/∞这种情况也是可以接受的。
17. 使劲求导+等价替换。
18. 同1.17。
19. 同上,可不用泰勒。
20. 几种泰勒与等价替换。
21. 换元,令t=1/x,化简原式,往(1+t)ᵅ靠,再用泰勒或求导。
22. 先拆分,再换元,最后泰勒。展开原则,要保证分子每一项泰勒展开无穷小的阶数要≥分母未知数的阶数。???
23. 直接求导的路走不通,联想e^x-1~x。等价替换成tanx-sinx后,直接一步泰勒或求两次导,或拆分再等价替换成tanx(1-cosx)。
24. 拆分,等价替换,再拆分,别用求导。
25. 通分后求两次导,记得化简。
26. 与1.23类似,提取然后等价,再一步泰勒或两步求导。
27. 等价替换后,同时求导即可。
28. 分母等价替换,整个式子两次求导。
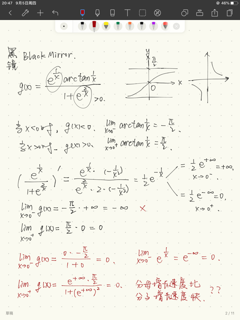
29. 也是要提取,但指数的不好看,没反应过来。$x \to 0,x^x$与其他相乘,可以直接单独算出来,即$0^0=1$。
求导一次+提取+等价替换 or 拆分+等价替换。
30. 直接应用三种函数的泰勒公式,但是要特别注意展开到第几项。???
一般以分母次数为基准,函数展开到相同次数不同系数为止。此题cosx也要展开到第三项。
31. 等价替换与拆分即可。
32. 改写成同一形式,再化简,拆分,最后等价替换。
$x=e^{lnx}=lne^x$
33. 拆分,往e^x-1靠,再等价替换,分母没法简化,整个式子得求导几次,最后分母能消去。
34. 拆分,求一次导,化简。
35. 忘了$a^x-1 \sim xlna$,也能直接用等价替换,极限存在,而分母又趋向于0,故分子也必定趋向于0,所以也能直接用等价替换。
36. 用换元与x-arctanx的等价替换,或arctanx的泰勒,可以算出f(x)前半部分的极限,能求得x趋向于1时f(x)的值,f(x)的完整表达式就能写出来了。
37. 改写,泰勒展开多两项凑到二阶无穷小,要从从指数化到多项式型,只有按eˣ型再泰勒展开。
而且要先将指数改写,提出e¹,才能跟题目中单独出现的的e对上。
再就是展开后的小于二阶的无穷小,都直接被抹去了,这一点到时有点太不符合直观。姑且作为新原则应用:更小的无穷小阶数在比他大的无穷小阶数面前不起作用。
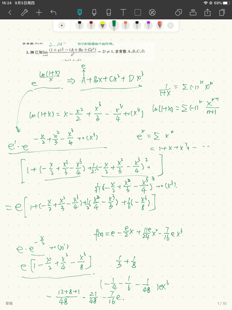
38. 同1.37,相当于要将e^(ln(1+x)/x)改写成A+Bx+Cx²+Dx³的形式,最后肯定是e^f(x)的形式,其中f(x)为多项式,就要拆成e^(常数项)*e^(f(x)-常数项),再将后者展开。
需要用到两个函数的泰勒展开,但是注意因为分母是3次方。需要保证ln(1+x)/x跟e^f(x)都要展开至o(x³)。
实际计算的时候,只关注≦x³项的项,其他相乘后会大于x³的项不用算,因为最后有个o(x³)。

39. 是一道区分度高的优秀试题,是中等难度题。。。居然只是中等难度,是解答题的话就得写清楚完整逻辑,难啊。
如果只是填空或选择题的话。分析下题目,求的是lim(x→0)f[g(x)],但是f(x)还分了x<0与x>0两种情况,肯定是在0处的左极限等于右极限,随便求一个就好了,而且还好求^ ^。
只是不能判断x→0时,g(x)也是否也是趋向于0的,是的话就需要直接代值进去算出来了。
要分x<0与x>0,分别对g(x)的值进行计算。还需要注意到无论x取何值,e^(1/x)都是大于0的。
???为什么用分离计算,然后求导的方法求出来x→0时,g(x)=-∞而不是0???


40. k≦0时,极限=-∞,排除;k>0时,(x→∞)∞-∞型通过t=1/x换元,通分后将两项合成一个式子,往0/0型或∞/∞上靠。
注意由于x不是趋向于0的,所以不能用泰勒展开,条件不符合。
难啊,想了好久才想通。


41. ①通分,e^(-t²)泰勒展开到o(x⁴)项,积分就能用多项式表达出来了,消去x⁵以下的项。
②通分,求一次导数,消去积分。再将e^(-x²)泰勒展开到o(x⁴)项,消去x⁴以下的项。
③想不到要用泰勒公式的时候,笨方法也能算出来。对式子求五次导,根据x→0时极限存在且为1,能建立起abc的关系式。第二次有b+c=0,第三次有3a-c=0,第五次有c=10。
42. ③提取,再求一次导即可,最快,不用像答案那么麻烦。但是要注意,是1/2-1/3=1/6!
①换元改写原式,求导或提取公因式(不一定看得出来),代入求值。
②提取,拆分,不用泰勒,用两次等价替换。往(1+xᵅ)-1~αx上靠,然后1-cosx可以再替换。


43. ①同上,拆分,往(1+xᵅ)-1~αx上靠,用等价替换最快。x→1,1-(1+**x-1**ᵅ)~-α(x-1)=α(1-x)。
②还是同上,或者是换元改写原式,提取公因式,分母要要分离成n-2项,最后代入求值。
44. 1-cosx不是连在一起的,有可能看错直接等价替换了。


真变态,鬼知道要这么拆,用另一种通解的方法比较简单。但两种方法都不好想,记住此类套路留个印象吧。


45. 若f(0)=0的话,则$f'(0)=\frac{1}{0^2+f^2(0)}=\frac{1}{0}$,无意义。题目默认f'(x)都是存在的,所以排除这种特殊情况了。
注意到x²与f²(x)都是>0的,联想到f'(x)?0与f(x)单调性的关系。再往题目中给出的条件f(1)=1上面靠,对f'(x)进行积分,能用到熟悉的arctanx与π/4。最后极限保号性证明收尾。


???为啥$f(x)=1+\int_{1}^{x}f'(t)dt$
46. 同上,简直一模一样。$f(x)=f(0)+\int_{0}^{x}f'(t)dt$