衡量的是独立互斥离散分类任务的误差
该网络会计算logits和labels的softmax cross entropy loss,独立互斥离散分类任务是因为,在这些任务中类与类之间是独立而且互斥的,比如VOC classification、Imagenet、CIFAR-10甚至MNIST,这些都是多分类任务,但是一张图就对应着一个类,class在图片中是独立的,并且一张图中只能有一个class,所以是独立且互斥事件。
直观表现为label形式为[0,0,…,1,0,…0],1000个元素中有且只有一个元素是1,其余都是0。
在卷积神经网络中的全连接层一般需要计算loss最小代价值(误差),也就是下面方法:
loss = tf.reduce_mean(tf.nn.softmax_cross_entropy_with_logits(labels=outputs, logits=prediction) (即将废弃)
loss=tf.reduce_mean(tf.nn.softmax_cross_entropy_with_logits_v2(labels=labels, logits=logits)) (等同上面)
labels:类维度的每个向量应该保持有效的概率分布,比如10分类[0,0,0,0,0,0,0,1,0,0]
logits:未缩放的日志概率(全连接层的输出)
为什么需要求出这个最小值呢?利用这个最小值更新(反向传递)卷积层中卷积核,以达到最后的的卷积核能够匹配我们所识别的物体;这个方法可以分解为以下几个环节
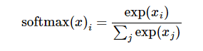
1)softmax就是将logits向量概率化,它的公式为:
例:
import tensorflow as tf
logits = tf.constant([[1.0, 1.5, 3.3], [2.3, 2.0, 1.1], [1.7, 0.5, 2.0]])
softmax = tf.nn.softmax(logits)
with tf.Session() as sess:
print(sess.run(softmax))
计算过程:
输出为:
[[0.07922108 0.13061348 0.7901654 ]
[0.48971298 0.36278832 0.14749874]
[0.37720862 0.11361305 0.50917834]]
既然是概率有:
0.07922108+0.13061348+0.7901654 = 1
0.48971298+0.36278832+0.14749874 = 1
0.37720862+0.11361305+0.50917834 = 1
2)cross_entropy_with_logits上面求得的logits向量与样本的标签labels交叉熵,公式为:
例:
import tensorflow as tf
logits = tf.constant([[1.0, 1.5, 3.3], [2.3, 2.0, 1.1], [1.7, 0.5, 2.0]])
labels = tf.constant([[0.0, 0.0, 1.0], [0.0, 0.0, 1.0], [0.0, 0.0, 1.0]])
softmax = tf.nn.softmax(logits)
cross_entropy_with_logits = -tf.reduce_sum(labels*tf.log(softmax))
with tf.Session() as sess:
print(sess.run(cross_entropy_with_logits))
计算过程:
- [ 0 * ln(0.07922108)+0 * ln(0.13061348 )+1 * ln(0.7901654 )]+
[ 0 * ln(0.48971298 )+0 * ln(0.36278832)+1 * ln(0.14749874)]+
[ 0 * ln(0.37720862 )+0 * ln(0.11361305)+1 * ln(0.50917834)]
=-((-0.2355130)+(-1.9139356)+(-0.6749570))=2.8244056
输出为:
2.8244057
3)reduce_mean上面求得的交叉熵做平均
例:
import tensorflow as tf
logits = tf.constant([[1.0, 1.5, 3.3], [2.3, 2.0, 1.1], [1.7, 0.5, 2.0]])
labels = tf.constant([[0.0, 0.0, 1.0], [0.0, 0.0, 1.0], [0.0, 0.0, 1.0]])
softmax = tf.nn.softmax(logits)
cross_entropy_with_logits = -tf.reduce_sum(labelstf.log(softmax))
loss = cross_entropy_with_logits/3
with tf.Session() as sess:
print(sess.run(loss))
计算过程:
2.8244056/3=0.94146854
输出为:
0.94146854
综合示例:
import tensorflow as tf
logits = tf.constant([[1.0, 1.5, 3.3], [2.3, 2.0, 1.1], [1.7, 0.5, 2.0]])
labels = tf.constant([[0.0, 0.0, 1.0], [0.0, 0.0, 1.0], [0.0, 0.0, 1.0]])
softmax = tf.nn.softmax(logits)
cross_entropy_with_logits = -tf.reduce_sum(labelstf.log(softmax))
loss = cross_entropy_with_logits/3
loss1 = tf.reduce_mean(tf.nn.softmax_cross_entropy_with_logits(labels=labels, logits=logits))
loss2 = tf.reduce_mean(tf.nn.softmax_cross_entropy_with_logits_v2(labels=labels, logits=logits))
with tf.Session() as sess:
print(sess.run(loss))
print(sess.run(loss1))
print(sess.run(loss2))
输出为:
0.94146854
0.94146854
0.94146854
可以看到结果完全一致
欢迎使用Markdown编辑器
你好! 这是你第一次使用 Markdown编辑器 所展示的欢迎页。如果你想学习如何使用Markdown编辑器, 可以仔细阅读这篇文章,了解一下Markdown的基本语法知识。
新的改变
我们对Markdown编辑器进行了一些功能拓展与语法支持,除了标准的Markdown编辑器功能,我们增加了如下几点新功能,帮助你用它写博客:
- 全新的界面设计 ,将会带来全新的写作体验;
- 在创作中心设置你喜爱的代码高亮样式,Markdown 将代码片显示选择的高亮样式 进行展示;
- 增加了 图片拖拽 功能,你可以将本地的图片直接拖拽到编辑区域直接展示;
- 全新的 KaTeX数学公式 语法;
- 增加了支持甘特图的mermaid语法1 功能;
- 增加了 多屏幕编辑 Markdown文章功能;
- 增加了 焦点写作模式、预览模式、简洁写作模式、左右区域同步滚轮设置 等功能,功能按钮位于编辑区域与预览区域中间;
- 增加了 检查列表 功能。
功能快捷键
撤销:Ctrl/Command + Z
重做:Ctrl/Command + Y
加粗:Ctrl/Command + B
斜体:Ctrl/Command + I
标题:Ctrl/Command + Shift + H
无序列表:Ctrl/Command + Shift + U
有序列表:Ctrl/Command + Shift + O
检查列表:Ctrl/Command + Shift + C
插入代码:Ctrl/Command + Shift + K
插入链接:Ctrl/Command + Shift + L
插入图片:Ctrl/Command + Shift + G
查找:Ctrl/Command + F
替换:Ctrl/Command + G
合理的创建标题,有助于目录的生成
直接输入1次#,并按下space后,将生成1级标题。
输入2次#,并按下space后,将生成2级标题。
以此类推,我们支持6级标题。有助于使用TOC语法后生成一个完美的目录。
如何改变文本的样式
强调文本 强调文本
加粗文本 加粗文本
标记文本
删除文本
引用文本
H2O is是液体。
210 运算结果是 1024.
插入链接与图片
链接: link.
图片:
带尺寸的图片:
居中的图片:
居中并且带尺寸的图片:
当然,我们为了让用户更加便捷,我们增加了图片拖拽功能。
如何插入一段漂亮的代码片
去博客设置页面,选择一款你喜欢的代码片高亮样式,下面展示同样高亮的 代码片.
// An highlighted block
var foo = 'bar';
生成一个适合你的列表
- 项目
- 项目
- 项目
- 项目
- 项目1
- 项目2
- 项目3
- 计划任务
- 完成任务
创建一个表格
一个简单的表格是这么创建的:
| 项目 | Value |
|---|---|
| 电脑 | $1600 |
| 手机 | $12 |
| 导管 | $1 |
设定内容居中、居左、居右
使用:---------:居中
使用:----------居左
使用----------:居右
| 第一列 | 第二列 | 第三列 |
|---|---|---|
| 第一列文本居中 | 第二列文本居右 | 第三列文本居左 |
SmartyPants
SmartyPants将ASCII标点字符转换为“智能”印刷标点HTML实体。例如:
| TYPE | ASCII | HTML |
|---|---|---|
| Single backticks | 'Isn't this fun?' |
‘Isn’t this fun?’ |
| Quotes | "Isn't this fun?" |
“Isn’t this fun?” |
| Dashes | -- is en-dash, --- is em-dash |
– is en-dash, — is em-dash |
创建一个自定义列表
- Markdown
- Text-to-HTML conversion tool
- Authors
- John
- Luke
如何创建一个注脚
一个具有注脚的文本。2
注释也是必不可少的
Markdown将文本转换为 HTML。
KaTeX数学公式
您可以使用渲染LaTeX数学表达式 KaTeX:
Gamma公式展示 是通过欧拉积分
你可以找到更多关于的信息 LaTeX 数学表达式here.
新的甘特图功能,丰富你的文章
- 关于 甘特图 语法,参考 这儿,
UML 图表
可以使用UML图表进行渲染。 Mermaid. 例如下面产生的一个序列图::
这将产生一个流程图。:
- 关于 Mermaid 语法,参考 这儿,
FLowchart流程图
我们依旧会支持flowchart的流程图:
- 关于 Flowchart流程图 语法,参考 这儿.
导出与导入
导出
如果你想尝试使用此编辑器, 你可以在此篇文章任意编辑。当你完成了一篇文章的写作, 在上方工具栏找到 文章导出 ,生成一个.md文件或者.html文件进行本地保存。
导入
如果你想加载一篇你写过的.md文件,在上方工具栏可以选择导入功能进行对应扩展名的文件导入,
继续你的创作。
注脚的解释 ↩︎
来源:CSDN
作者:weixin_45558166
链接:https://blog.csdn.net/weixin_45558166/article/details/100194236