- 二叉树遍历--先序遍历中左右,中序遍历左中右,后续遍历左右中
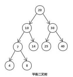
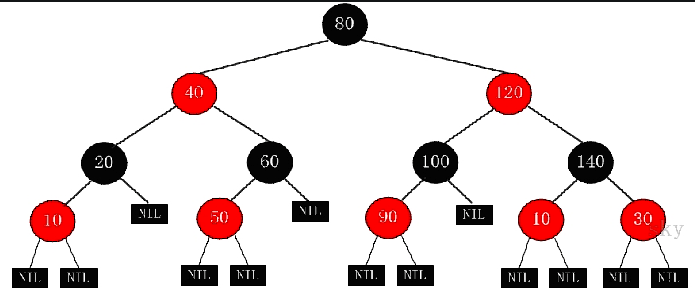
- 平衡二叉树(又称AVL树,有别于AVL算法):每个节点的左右子树高度最多差1的二叉排序树;目的是减少二叉查找树层次,提高查找速度;实现此理念方法有红黑树、替罪羊树、伸展树、AVL、Treap等。红黑树是相对接近平衡的二叉树,应用比较广泛,主要用它来存储有序的数据,由于时间复杂度O(logN),效率非常之高;例Java集合中的TreeSet和Tree Map,C++中的set和map,以及linux虚拟内存的管理,都有此实现。


B、B-、B+、B*树