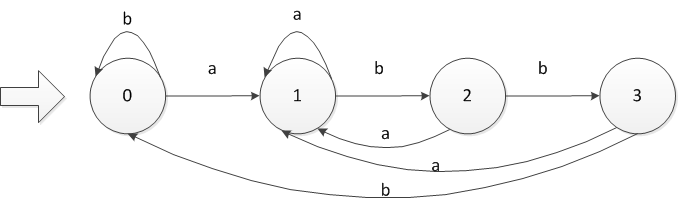
1.设有 NFA M=( {0,1,2,3}, {a,b},f,0,{3} ),其中 f(0,a)={0,1} f(0,b)={0} f(1,b)={2} f(2,b)={3}
画出状态转换矩阵,状态转换图,并说明该NFA识别的是什么样的语言。
状态转换矩阵:
|
|
a |
b |
|
0 |
0,1 |
0 |
|
1 |
|
2 |
|
2 |
|
3 |
|
3 |
|
|
状态转换图:

识别的语言:(a|b)*abb
2.NFA 确定化为 DFA
1.解决多值映射:子集法
1). 上述练习1的NFA
状态转换矩阵:
|
|
|
a |
b |
|
0 |
0 |
{0,1} |
{0} |
|
1 |
{0,1} |
{0,1} |
{0,2} |
|
2 |
{0,2} |
{0,1} |
{0,3} |
|
3 |
{0,3} |
{0,1} |
{0} |
状态转换图:

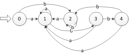
2). P64页练习3
状态转换矩阵:
|
|
|
0 |
1 |
|
1 |
{S} |
{V,Q} |
{Q,U} |
|
2 |
{V,Q} |
{V,Z} |
{Q,U} |
|
3 |
{V,Z} |
{Z} |
{Z} |
|
4 |
{Q,U} |
{V} |
{Q,U,Z} |
|
5 |
{Q,U,Z} |
{Q,U} |
{Q,U,Z} |
|
6 |
{V} |
{Z} |
|
|
7 |
{Z} |
{Z} |
{Z} |
状态转换图:

2.解决空弧:对初态和所有新状态求ε-闭包
1). 发给大家的图2
2).P50图3.6
子集法:
f(q,a)={q1,q2,…,qn},状态集的子集
将{q1,q2,…,qn}看做一个状态A,去记录NFA读入输入符号之后可能达到的所有状态的集合。
步骤:
1).根据NFA构造DFA状态转换矩阵
①确定DFA的字母表,初态(NFA的所有初态集)
②从初态出发,经字母表到达的状态集看成一个新状态
③将新状态添加到DFA状态集
④重复23步骤,直到没有新的DFA状态
2).画出DFA
3).看NFA和DFA识别的符号串是否一致。
解:
(1)
状态转换矩阵:
|
|
|
0 |
1 |
2 |
|
A |
ε{A}={ABC} |
ε{A}={ABC} |
ε{B}={BC} |
ε{C}={C} |
|
B |
{BC} |
|
ε{B}={BC} |
ε{C}={C} |
|
C |
{C} |
|
|
ε{C}={C} |
状态转换图:

(2)
状态转换矩阵:
|
|
|
a |
B |
|
0 |
ε{0}={0,1,2,4,7} |
ε{3,8}={3,6,7,8,1,2,4} |
ε{5}={1,2,4,5,6,7} |
|
1 |
ε{1,2,3,4,6,7,8} |
ε{3,8}={3,6,7,8,1,2,4} |
ε{59}={5,6,7,1,2,4,9} |
|
2 |
ε{1,2,4,5,6,7} |
ε{3,8}={3,6,7,8,1,2,4} |
ε{5}={1,2,4,5,6,7} |
|
3 |
ε{1,2,4,5,6,7,9} |
ε{3,8}={3,6,7,8,1,2,4} |
ε{5,10}={5,6,7,1,2,4,10} |
|
4 |
ε{1,2,4,5,6,7,10} |
ε{3,8}={3,6,7,8,1,2,4} |
ε{5}={1,2,4,5,6,7} |
状态转换图:
