一、集成学习

二、Boosting模型
下一个子学习器,在当前学习器的基础上生成。最后,通过结合策略,将子学习器间的输出结合起来。
训练样本有权值,每次得到一个新的分类器后,会更新训练集中样本的权值。
参考刘建平–集成学习https://www.cnblogs.com/pinard/p/6131423.html
2.1 AdaBoost
摘自李航《统计学习方法》
2.1.1 AdaBoost算法


- 误差率
- 系数
- 样本更新后的权值
- 分类器
2.1.2 AdaBoost算法误差分析





2.2 提升树算法
提升方法实际采用加法模型(基函数的线性组合)和前向算法。


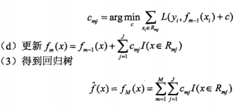
2.3 梯度提升树(Gradient Boosting Decision Tree)算法
上面的提升树是对于误差函数取MSE时的构建方法,当损失函数是一般函数时,每次拟合的不是残差,而是拟残差。(提升树中的残差其实也是损失函数对函数f(x)梯度的负方向)


2.4 XGBoost
三、Bagging模型
从m个样本训练集中有放回地随机采样m次得到采样集1,训练学习器1,重复n次采样和训练,得到n个弱学习器,通过结合策略结合n个子学习器间的输出。
四、结合策略
- 投票法
- 加权
- stacking
来源:CSDN
作者:Blankit1
链接:https://blog.csdn.net/Blankit1/article/details/103232576