目录
1. 矩阵的相似
- 矩阵的相似


(iv)的证明:


- 矩阵的特征值和特征向量

2. 特征值与特征向量的求法






由此可见矩阵的k重特征值不一定有k个线性无关的特征向量。
3. 特征值与特征向量的性质

用数学归纳法证明:


上节课的例题:

- 推论

- 例题




- 特征值求法公式

- 特征值与矩阵的关系

矩阵A的特征值之和=trace(A) 即矩阵A的迹。
- 练习

4. 一般矩阵的相似对角形
- 矩阵与对角阵相似的条件



推论:若n阶矩阵A有n个互异的特征值,则A与对角阵相似,反之不对。
n阶矩阵能够与对角阵相似,取决于矩阵能否有n个线性无关的特征向量。
若n阶矩阵A有n个互异的特征值,则A与对角阵相似;若矩阵A有重特征值,不能马上断言,这时要看特征向量,实际上,只要k重特征值对应k个线性无关的特征向量即可。


- 练习

- 矩阵相似对角化的方法


- 矩阵相似对角化的步骤

- 练习

5. 实对称矩阵特征值与特征向量的性质
- 性质1
实对称矩阵的特征值都是实数。
证明一个数是实数,就是证明该数的共轭与该数相等。


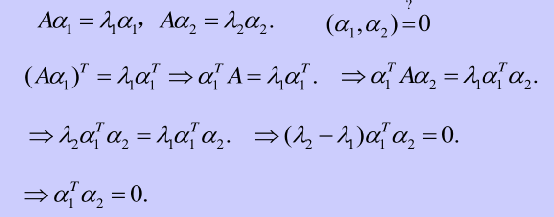
- 性质2
实对阵矩阵的相异特征值所对应的特征向量必定正交。
对于一般矩阵,只能保证相异特征值所对应的特征向量线性无关。


- 性质3
实对阵矩阵A的k重特征值所对应的线性无关的特征向量恰好有k个。
也就是说实对称矩阵A一定与对角矩阵相似。
注意一般矩阵的k重特征值所对应的线性无关的特征向量不一定有k个,不一定与对角阵相似。


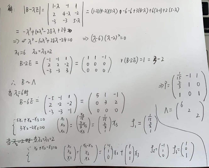
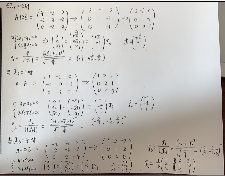
6. 实对称矩阵的相似对角化

- 例题



- 用正交阵将实对称矩阵A对角化的步骤

- 练习



来源:https://blog.csdn.net/sdu_hao/article/details/102767824