树与树算法
目录
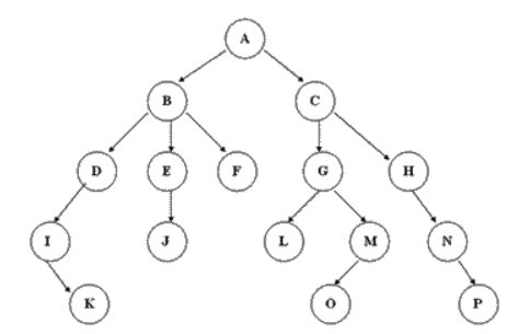
一、关于树的一些概念
1.树的定义
树(英语:tree)是一种抽象数据类型(ADT)或是实作这种抽象数据类型的数据结构,用来模拟具有树状结构性质的数据集合。它是由n(n>=1)个有限节点组成一个具有层次关系的集合。把它叫做“树”是因为它看起来像一棵倒挂的树,也就是说它是根朝上,而叶朝下的。它具有以下的特点:
- 每个节点有零个或多个子节点;
- 没有父节点的节点称为根节点;
- 每一个非根节点有且只有一个父节点;
- 除了根节点外,每个子节点可以分为多个不相交的子树;

2.树的术语
- 节点的度:一个节点含有的子树的个数称为该节点的度;
- 树的度:一棵树中,最大的节点的度称为树的度;
- 叶节点或终端节点:度为零的节点;
- 父亲节点或父节点:若一个节点含有子节点,则这个节点称为其子节点的父节点;
- 孩子节点或子节点:一个节点含有的子树的根节点称为该节点的子节点;
- 兄弟节点:具有相同父节点的节点互称为兄弟节点;
- 节点的层次:从根开始定义起,根为第1层,根的子节点为第2层,以此类推;
- 树的高度或深度:树中节点的最大层次;
- 堂兄弟节点:父节点在同一层的节点互为堂兄弟;
- 节点的祖先:从根到该节点所经分支上的所有节点;
- 子孙:以某节点为根的子树中任一节点都称为该节点的子孙
- 森林:由m(m>=0)棵互不相交的树的集合称为森林;
3.树的分类
- 无序树:树中任意节点的子节点之间没有顺序关系,这种树称为无序树,也称为自由树;
- 有序树:树中任意节点的子节点之间有顺序关系,这种树称为有序树;
- 二叉树:每个节点最多含有两个子树的树称为二叉树;
- 完全二叉树:对于一颗二叉树,假设其深度为d(d>1)。除了第d层外,其它各层的节点数目均已达最大值,且第d层所有节点从左向右连续地紧密排列,这样的二叉树被称为完全二叉树,其中满二叉树的定义是所有叶节点都在最底层的完全二叉树;
- 平衡二叉树(AVL树):当且仅当任何节点的两棵子树的高度差不大于1的二叉树;
- 排序二叉树(二叉查找树(英语:Binary Search Tree),也称二叉搜索树、有序二叉树);
- 霍夫曼树(用于信息编码):带权路径最短的二叉树称为哈夫曼树或最优二叉树;
- B树:一种对读写操作进行优化的自平衡的二叉查找树,能够保持数据有序,拥有多余两个子树。
- 二叉树:每个节点最多含有两个子树的树称为二叉树;
4.树的存储与表示
顺序存储:将数据结构存储在固定的数组中,然在遍历速度上有一定的优势,但因所占空间比较大。
链式存储:每个结点不仅有数据域,还有指针域。二叉树通常以链式存储。
二、二叉树
1.基本概念
二叉树是每个节点最多有两个子树的树结构。通常子树被称作“左子树”和“右子树”。
2.基本性质
- 二叉树中,第 i 层最多有
个结点。
- 如果二叉树的深度为 K,那么此二叉树最多有
个结点。 - 二叉树中,终端结点数(叶子结点数)为 N0,度为 2 的结点数为 N2,则 N0=N2+1。
3.二叉树的存储
二叉树通常以链式存储。
4.二叉树的节点创建和广度遍历
class Node(object): #节点创建 def __init__(self, item): #item存放当前节点的数据元素 self.elem = item self.lchild = None self.rchild = None class Tree(object): #二叉树 def __init__(self): self.root = None def add(self, item): #往二叉树里面添加数据元素 node = Node(item) #如果树是空的,则对根节点赋值一个节点对象 if not self.root: self.root = node else: #先找树的根节点, 存储到变量queue中 queue = [] queue.append(self.root) while queue: cur_node = queue.pop(0) #把根节点弹出,且cur_node此时和self.root为同一引用 if cur_node.lchild is None: #左孩子节点是否已经存在 cur_node.lchild = node #如果不存在,添加,完事 return else: queue.append(cur_node.lchild) #如果已经有左孩子节点了,就添加进queue尾部 if cur_node.rchild is None: #右孩子节点是否已经存在 cur_node.rchild = node return else: queue.append(cur_node.rchild) def breadth_travel(self): #广度遍历 queue = [self.root] # 根节点 if self.root is None: return while queue: #当队列中没有元素,说明已经遍历并打印所有结点 cur_node = queue.pop(0) print(cur_node.elem) if cur_node.lchild is not None: queue.append(cur_node.lchild) if cur_node.rchild is not None: queue.append(cur_node.rchild) if __name__ == '__main__': tree = Tree() tree.add(1) tree.add(2) tree.add(3) tree.add(4) tree.breadth_travel() 1 2 3 4 5.二叉树的深度遍历
先序遍历:每遇到一个节点,先访问此节点,然后再遍历其左右子树。
中序遍历:第一次经过时不访问根节点,等遍历完左子树之后再访问,然后遍历右子树。
后序遍历:第一次和第二次经过时都不访问,等遍历完该节点的左右子树之后,最后访问该节点
代码实现:通过递归进行深度遍历
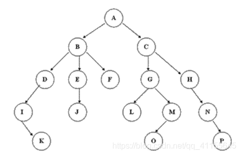
class Node(object): #节点创建 def __init__(self, item): #item存放当前节点的数据元素 self.elem = item self.lchild = None self.rchild = None class Tree(object): #二叉树 def __init__(self): self.root = None def add(self, item): #往二叉树里面添加数据元素 node = Node(item) #如果树是空的,则对根节点赋值一个节点对象 if not self.root: self.root = node else: #先找树的根节点, 存储到变量queue中 queue = [] queue.append(self.root) while queue: cur_node = queue.pop(0) #把根节点弹出,且cur_node此时和self.root为同一引用 if cur_node.lchild is None: #左孩子节点是否已经存在 cur_node.lchild = node #如果不存在,添加,完事 return else: queue.append(cur_node.lchild) #如果已经有左孩子节点了,就添加进queue尾部 if cur_node.rchild is None: #右孩子节点是否已经存在 cur_node.rchild = node return else: queue.append(cur_node.rchild) def breadth_travel(self): #广度遍历 queue = [self.root] # 根节点 if self.root is None: return while queue: #当队列中没有元素,说明已经遍历并打印所有结点 cur_node = queue.pop(0) print(cur_node.elem,end = " ") if cur_node.lchild is not None: queue.append(cur_node.lchild) if cur_node.rchild is not None: queue.append(cur_node.rchild) def preoder(self,node): #先序遍历 if node is None: return print(node.elem,end = " ") self.preoder(node.lchild) self.preoder(node.rchild) def inoder(self,node): #中序遍历 if node is None: return self.inoder(node.lchild) print(node.elem,end = " ") self.inoder(node.rchild) def postoder(self, node): #后序遍历 if node is None: return self.postoder(node.lchild) self.postoder(node.rchild) print(node.elem, end=" ") if __name__ == '__main__': tree = Tree() tree.add(0) tree.add(1) tree.add(2) tree.add(3) tree.add(4) tree.add(5) tree.add(6) tree.add(7) tree.add(8) tree.add(9) print("\nbreadth_travel:") tree.breadth_travel() print("\npreoder:") tree.preoder(tree.root) print("\ninoder:") tree.inoder(tree.root) print("\npostoder:") tree.postoder(tree.root) breadth_travel: 0 1 2 3 4 5 6 7 8 9 preoder: 0 1 3 7 8 4 9 2 5 6 inoder: 7 3 8 1 9 4 0 5 2 6 postoder: 7 8 3 9 4 1 5 6 2 0 6.由遍历结果确定一棵二叉树
例:已知先序 0 1 3 7 8 4 9 2 5 6,中序 7 3 8 1 9 4 0 5 2 6
逐步拆解:
1.由先序根在前的特性可知 0 为根 。
2.由中序跟在中间的特性可知 7 3 8 1 9 4是一整颗左子树,5 2 6是一整颗右子树。
3. 由5 2 6子树可知2 5 6分别为为子树的根节点、左节点、右节点。
4.在子树7 3 8 1 9 4中,由先序为1 3 7 8 4 9,中序为 7 3 8 1 9 4容易得知1位根节点,剩下的也迎刃而解。

来源:https://blog.csdn.net/qq_41155645/article/details/102758920
个结点。