数字图像处理之第三章

半世苍凉 提交于 2019-12-02 10:58:12

第三章 图像增强
1.图像增强的方法有很多种,按增强的目的和效果来划分,图像增强的方法大致可以分为灰度级修正、图像平滑、图像锐化、图像增晰和色彩增晰等。
2.灰度级修正(主要用来提高图像对比度,提高人眼视觉分辨能力,包括灰度变换和直方图修正等)
灰度级修正主要针对独立的像素点进行处理,由输入像素点的灰度值来决定相应输出像素点的灰度值,通过改变原始图像所占据的灰度范围而使图像在视觉上得到改观,这种变换没有利用像素点之间的相互空间关系,因而这种处理方法也称为点运算法。
3.灰度级修正有氛围灰度的线性变换、非线性变换和直方图均衡等。
1)灰度的线性变换就是将图像中的所有像素点的灰度按照线性变换函数进行变换;
2)当用某些非线性函数对图像灰度进行映射时,就可以实现图像灰度的非线性变换;
3)直方图修正:图像的灰度图直方图反映图像灰度的统计特性,变大了图像中取不同灰度值的面积或像素数在整幅图像中所占的比例,是图像中最基本的信息。用横坐标表示灰度级,纵坐标表示灰度级出现的频数,一幅图像的直方图可以表示为:
在这里插入图片描述
式中,N为一幅图像中的像素总数,nk为第k级灰度的像素数,rk表示第k个灰度级,L为灰度级数,p(rk)表示该灰度级出现的概率。
①直方图均衡
直方图均衡的基本思想是对原始图像中的像素灰度做某种映射变换,使变换后的图像灰度的概率密度是均匀分布的,即变换后图像是一幅灰度级均匀分布的图像,这意味着图像灰度的动态范围得到了增加,从而提高图像的对比度。
②直方图规定化
直方图均衡化的优点是能自动增强整个图像的对比度,但它的具体增强效果不一控制,处理的结果总是得到全局均衡化的直方图。另外,均衡化处理后的图像虽然增强了图像的对比度,但它并不一定适合人的视觉。
实际中有时要求突出图像中人们感兴趣的灰度范围,这是,可以变换直方图使之成为所要求的形状,从而有选择地增强某个灰度值范围内的对比度,这种方法称为直方图规定化或直方图匹配。
4.图像平滑(主要目的就是为了消除噪声,可以在空间域进行,也可以在频率域进行)
空间域常用的方法有邻域平均法、终止滤波法等;
频率域则主要是低通滤波器。
1)邻域平均法也叫均值平滑,是一种局部空间域处理的算法。
设原始图像为f(x,y),对f(x,y)的每个像素点取一个领域S,计算S中所有像素灰度级的平均值,将其作为邻域平均处理后的图像g(x,y)的像素值。即
在这里插入图片描述
式中S是预先确定的邻域,M为邻域S中像素的点数。
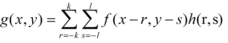
2)邻域平均法夜可以用空间域卷积运算方式来描述,把平均化处理看作一个作用于大小为MXN图像f(x,y)上的低通滤波器,该滤波器的脉冲响应是mxn阵列h(r,s)。于是,该滤波器输出的图像g(x,y)可以用如下卷积表示:
在这里插入图片描述
其中,k=(m-1)/2,l=(n-1)/2,根据所选邻域大小来决定模板的大小。公式中h(r,s)为加权函数,习惯上成为掩模、模板或卷积阵列。

易学教程内所有资源均来自网络或用户发布的内容,如有违反法律规定的内容欢迎反馈
该文章没有解决你所遇到的问题?点击提问,说说你的问题,让更多的人一起探讨吧!