一、用“损失函数+正则项”理解SVM最优化目标
如近似线性可分问题所述,SVM算法的目标是求得如下目标函数的最小值:min21w2+Ci=1∑nξis.t. yi(wxi+b)≥1−ξiξi≥0根据拉格朗日广义函数对偶问题的分析,αi共有如下三种取值情况:
1)αi=C,由对偶互补条件有ξi=1−yi(wxi+b)
2)αi=0,由对偶互补条件有ξi=0
3) 0<αi<C,对应于支持向量边界上的点,显然ξi=0
所以,上述最优化问题可写成:min21w2+Ci=1∑nmax(0,1−yi(wxi+b))或进一步可写成:min2C1w2+i=1∑nmax(0,1−yi(wxi+b))该公式可以理解为某个损失函数max(0,1−yi(wxi+b))与L2正则项的和作为目标函数,惩罚项λ=2C1
也就是说,SVM的目标可以理解为最小化L2正则化下的损失函数max(0,1−yi(wxi+b)),这个损失函数称为合页损失函数(Hinge Loss)。
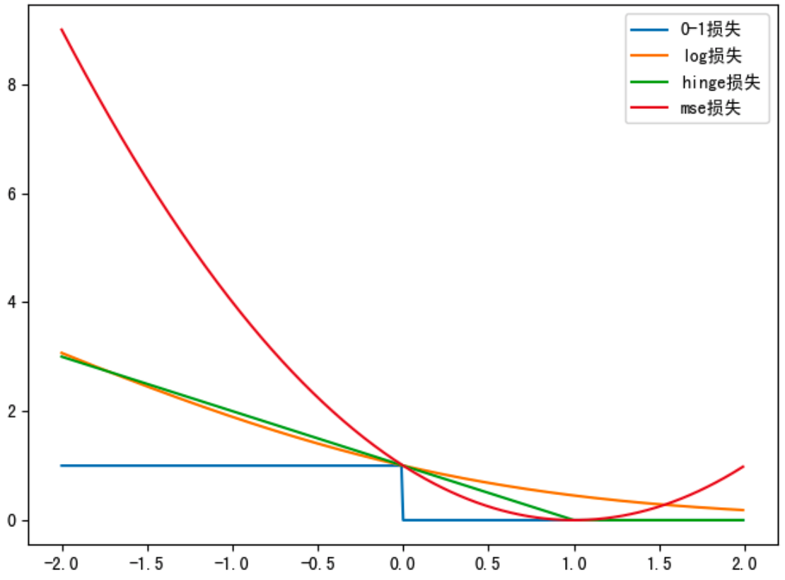
二、合页损失函数
SVM的损失函数为合页损失函数:max(0,1−y(wx+b))该损失和0-1损失、log损失(以2为底)、平方损失等常见损失的对比见下图。

在分类问题中,0-1损失是最容易想到的损失函数(判断错统一惩罚1,不管错的多离谱),而上图中的其它损失函数都是0-1损失的上界。
对于合页损失,其对判断正确和错误处的惩罚力度均进行了调整:1)不光要判断正确,而且函数距离必须大于1(可以理解为正确的可信度高,即margin=1)才无须惩罚;2)对于判断错误,或者虽然判断正确但可信度不高的值,均进行惩罚,且错的越多,惩罚力度随之线性增加。
三、参数C的意义
在前文的推广中,将参数C定义为对间隔进行松弛ξ时的惩罚项。当C越大时,越不允许有过大的ξ,因此分割平面必须越能正确的区分每个数据点,所以分割平面越复杂,越可能导致过拟合。

从正则化损失函数的角度来思考,因为L2正则化前的系数λ=2C1,C越大意味着λ越小,对假设空间复杂度的约束越小,边界也就越复杂。这与上面的结论相一致。
四、线性模型L2正则化的泛化
回到SVM的正则化损失函数表达形式:min2C1w2+i=1∑nmax(0,1−yi(wxi+b))与之类似的,还有添加L2正则项之后的逻辑损失问题和线性回归问题:minλw2+i=1∑nyiσ(xi)+(1−yi)(1−σ(xi))minλw2+i=1∑n(yi−wxi−b)2不难得到在线性模型基础上,进行L2正则化的泛化表达形式:minλw2+i=1∑nerr(yi,g(wxi))式中g(wx)表示线性模型。
通过这种泛化,我们可以通过调整损失函数以适应不同的问题,还可以将SVM中核技巧推广到其它的线性模型。这也是后文介绍SVM概率模型和SVM回归模型的基础。