收藏些图像处理,机器学习,深度学习方面比较不错的文章,时常学习,复习和膜拜吧。。。
图像方面(传统CV):
1. SIFT特征
http://shartoo.github.io/SIFT-feature/?FbmNv=5d9f3d0c8ca5090a
https://blog.csdn.net/abcjennifer/article/details/7639681
https://blog.csdn.net/dcrmg/article/details/52577555
2. HOG特征
http://shartoo.github.io/HOG-feature/?FbmNv=5d9f3d48e0647071
https://senitco.github.io/2017/06/10/image-feature-hog/
https://www.cnblogs.com/aoru45/p/9748481.html
https://zhuanlan.zhihu.com/p/40960756
3. 图像金字塔
http://shartoo.github.io/image-pramid/?FbmNv=5d9f3d6e990e41bb
https://zhuanlan.zhihu.com/p/32815143
4. Haar特征
http://shartoo.github.io/img-haar-feature/
https://senitco.github.io/2017/06/15/image-feature-haar/
https://juejin.im/post/5b0e6f83f265da0910791a38
https://blog.csdn.net/zouxy09/article/details/7929570
机器学习方面:
1. Linear Regression
https://zhuanlan.zhihu.com/p/45023349
2. Logistic Regression
https://chenrudan.github.io/blog/2016/01/09/logisticregression.html
https://www.jiqizhixin.com/articles/2018-05-13-3
https://zhuanlan.zhihu.com/p/28408516
3.Neutral Network
https://clyyuanzi.gitbooks.io/julymlnotes/content/dl_nn.html
https://www.cnblogs.com/subconscious/p/5058741.html
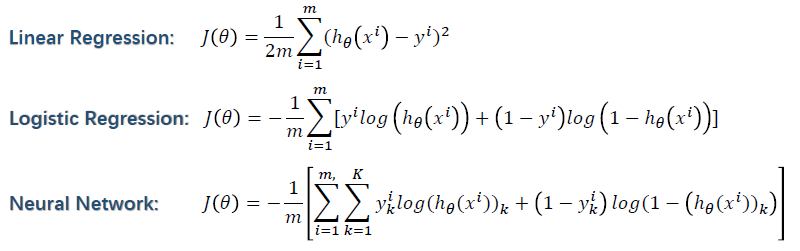
线性回归,逻辑回归,神经网络损失函数(loss function):

4. 回归和正则化(Regression and Regularization)
https://www.zhihu.com/question/20924039
https://zhuanlan.zhihu.com/p/29957294
带正则化的损失函数:



5. SVM(support vector machine)
https://www.jiqizhixin.com/articles/2018-10-17-20
https://www.cnblogs.com/leftnoteasy/archive/2011/05/02/basic-of-svm.html
https://wizardforcel.gitbooks.io/dm-algo-top10/content/svm-1.html
https://blog.csdn.net/v_JULY_v/article/details/7624837
6. kmeans算法
https://www.csuldw.com/2015/06/03/2015-06-03-ml-algorithm-K-means/
https://www.cnblogs.com/pinard/p/6164214.html
k-Means++
https://zhuanlan.zhihu.com/p/32375430
https://github.com/silence-cho/cv-learning/blob/master/week4/assignment.py (代码有小问题,待改进)
7.KNN(k近邻)算法
https://coolshell.cn/articles/8052.html
https://www.cnblogs.com/ybjourney/p/4702562.html
8.决策树 (Decision tree)
https://www.csuldw.com/2015/05/08/2015-05-08-decision%20tree/
https://lotabout.me/2018/decision-tree/
https://blog.csdn.net/xbinworld/article/details/44660339

9.其他算法
AdaBoost:
https://www.cnblogs.com/pinard/p/6133937.html
https://blog.csdn.net/guyuealian/article/details/70995333
LDA(隐式狄利克雷分布): https://github.com/endymecy/spark-ml-source-analysis/blob/master/%E8%81%9A%E7%B1%BB/LDA/lda.md
朴素贝叶斯:https://www.cnblogs.com/leoo2sk/archive/2010/09/17/naive-bayesian-classifier.html
深度学习方面
1. overfit/underfit (过拟合和欠拟合)
https://zh.d2l.ai/chapter_deep-learning-basics/underfit-overfit.html
https://zhuanlan.zhihu.com/p/29707029

2. bias and variance (高偏差和高方差)
https://www.jianshu.com/p/a585d5506b1e
https://www.cnblogs.com/hutao722/p/9921788.html
http://nanshu.wang/post/2015-05-17/
http://www.voidcn.com/article/p-tqoebcaa-dq.html
3. Gradient vanishing and explosion (梯度消失和梯度爆炸)
https://blog.csdn.net/qq_25737169/article/details/78847691
https://codertw.com/%E7%A8%8B%E5%BC%8F%E8%AA%9E%E8%A8%80/583004/
https://zhuanlan.zhihu.com/p/51490163
4.Backward(反向传播)
https://juejin.im/entry/5ac056dc6fb9a028de44d620
https://tigerneil.gitbooks.io/neural-networks-and-deep-learning-zh/content/chapter2.html
https://github.com/INTERMT/BP-Algorithm
https://jdhao.github.io/2016/01/19/back-propagation-in-mlp-explained/
图像分割模型:
1. FCN
https://zhuanlan.zhihu.com/p/62839949
https://zh.gluon.ai/chapter_computer-vision/fcn.html

2.U-Net (E-Net)
https://blog.csdn.net/u012931582/article/details/70215756
https://juejin.im/post/5d63eb7bf265da03e05b2065
https://zhuanlan.zhihu.com/p/31428783
https://zhuanlan.zhihu.com/p/57530767

3. E-Net
https://zhuanlan.zhihu.com/p/39430439
http://hellodfan.com/2018/01/02/%E8%AF%AD%E4%B9%89%E5%88%86%E5%89%B2%E8%AE%BA%E6%96%87-ENet/
https://zhuanlan.zhihu.com/p/31379024

4. Mask-RCNN
https://zhuanlan.zhihu.com/p/37998710
https://zhuanlan.zhihu.com/p/40538057

Image Style Transfer(图像风格转变):
Perceptual Loss: Perceptual Losses for Real-Time Style Transferand Super-Resolution
Feature mimicking: Mimicking Very Efficient Network for Object Detection
Model distillation: Distilling the Knowledge in a Neural Network
Image Enhancement (图像增强):
Learning a Deep Single Image Contrast Enhancerfrom Multi-Exposure Images
A Generic Deep Architecture for Single Image Reflection Removaland Image Smoothing (反射移除)