常用核函数
非线性问题往往不好求解,所以希望能用解线性分类问题的方法解决这个问题。所采取的方法是进行一个非线性变换,将非线性问题变换为线性问题,通过解变换后的线性问题的方法求解原来的非线性问题。对图所示的例子,通过变换,将左图中椭圆变换成右图中的直线,将非线性分类问题变换为线性分类问题。

1.多项式核函数(polynomial kernel function)
![]()
分类决策函数:

2. 高斯核函数(Gaussian kernel function)

对应的支持向量机是高斯径向基函数(radial basis function)分类器。在此情形下,分类决策函数成为 :

3.字符串核函数(string kernel function)
SMO序列最小最优化算法
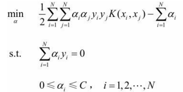
支持向量机的学习问题可以形式化为求解凸二次规划问题。这样的凸二次规划问题具有全局最优解,并且有许多最优化算法
可以用于这一问题的求解。但是当训练样本容量很大时,这些算法往往变得非常低效,以致无法使用。所以,如何高效地实现支持向量机学习就成为一个重要的问题。
SMO算法要解如下凸二次规划的对偶问题:

来源:https://blog.csdn.net/qq_40415753/article/details/102723198