
作者:vxbimath
轨迹方程的探求是解析几何中的基本问题之一,也是近几年来高考中的常见题行之一。学生解这类问题时,不善于揭示问题的内部规律及知识之间的相互联系,动辄就罗列一大堆坐标关系,进行无目的大运动运算,致使不少学生丧失信心,半途而废,因此,在平时教学中,总结和归纳求轨迹方程的常用方法,对提高学生的解题能力,优化学生的解题思路很有帮助,本文通过典型例子阐述探求轨迹方程的常用技法。
1、直接法
当所求动点的要满足的条件简单明确时,直接按“建系设点、列出条件、代入坐标、整理化简限制说明”五个基本步骤求轨迹方程,称之直接法。
2、定义法
定义法是指先分析、说明动点的轨迹满足某种特殊曲线(如圆、椭圆、双曲线、抛物线等)的定义后特征。在求出该曲线的相关参量,从而得到轨迹方程。
3、点差法
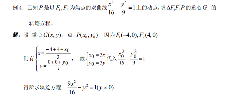
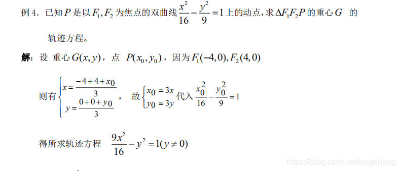
4、转移法
转移法求曲线方程时一般两个动点,一个主动的,另一个是次动的。
当题目中的条件同时具有以下特征时,一般可以用转移法求其轨迹方程:
(1)某个动点P的已知方程的曲线上移动;
(2)另一个动点M随P的变化而变化;
(3)在变化过程中P和M满足一定的规律。

5、参数法
求曲线的轨迹方程是解析几何的两个基本问题之一,求符合某种条件的动点的轨迹方程,其实质就是利用提设置中的几何条件,通过“坐标互化”将其转化为寻求变量的关系。在确定了轨迹方程之后,有时题目会就方程中参数进行讨论;参数取值的变化是方程表示不同的曲线;参数取值的不同使其与其他曲线的位置关系不同;参数取值的变化引起另外某些变量的取值范围的变化等等。
6、交轨法
求两曲线的交点轨迹时,可由方程直接消去参数,或者先引入参数来建立这些动曲线的联系,然后消去参数来的到轨迹方程,称之交轨法。
总结归纳
1、要注意有的轨迹问题包含一定隐含条件,也就是曲线上点坐标的取值范围,由曲线和方程的概念可知,在求曲线方程时一定要注意它的“完备性”和“纯粹性”,即轨迹若是曲线的一部分,应对方程注明x的范围,或同时注明x,y的取值范围。
2、2“轨迹”与“轨迹方程”既有区别又有联系,求“轨迹”时首先要求出“轨迹方程”,然后在说明方程的轨迹图形,最后“补漏”和“去掉增多”的点。若轨迹有不同的情况,应分讨论,以保证他的完整性。
今天求轨迹的方程的方法就分享到这里了,更多高质量的解题技巧视频资料,需要的可以私聊老师,也可以评论在下方,老师统一回复大家!
来源:https://blog.csdn.net/yugedang/article/details/98884836