题目描述
给一个链表,若其中包含环,请找出该链表的环的入口结点,否则,输出null。
思路一
迭代遍历链表,利用HashSet将每个结点添加到哈希表中,如果添加失败(重复遍历了这个结点即遇到环),输出该结点为环入口
实现
/*
public class ListNode {
int val;
ListNode next = null;
ListNode(int val) {
this.val = val;
}
}
*/
import java.util.HashSet;
public class Solution {
public ListNode EntryNodeOfLoop(ListNode pHead)
{
if(pHead == null) return pHead;
HashSet hash = new HashSet();
while(pHead != null){
boolean chk = hash.add(pHead);
if(chk == false)
return pHead;
pHead = pHead.next;
}
return null;
}
}
运行时间:17ms
占用内存:9608k
思路二
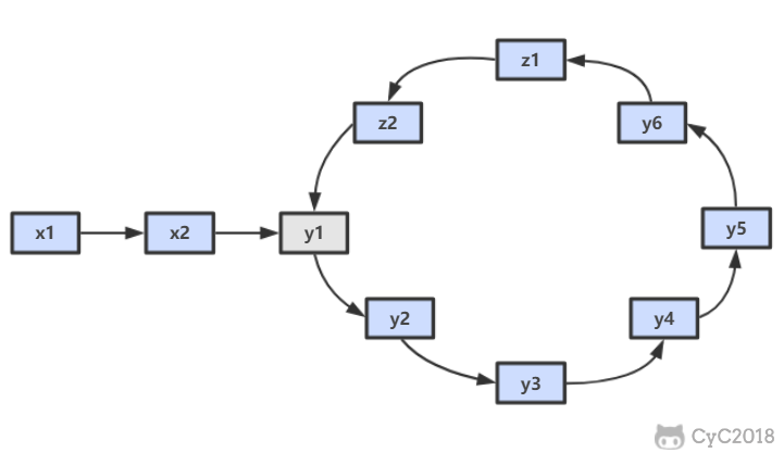
使用双指针,一个指针 fast 每次移动两个节点,一个指针 slow 每次移动一个节点。因为存在环,所以两个指针必定相遇在环中的某个节点上。假设相遇点在下图的 z1 位置,此时 fast 移动的节点数为 x+2y+z,slow 为 x+y,由于 fast 速度比 slow 快一倍,因此 x+2y+z=2(x+y),得到 x=z。
在相遇点,slow 要到环的入口点还需要移动 z 个节点,如果让 fast 重新从头开始移动,并且速度变为每次移动一个节点,那么它到环入口点还需要移动 x 个节点。在上面已经推导出 x=z,因此 fast 和 slow 将在环入口点相遇。

实现
public ListNode EntryNodeOfLoop(ListNode pHead) {
if (pHead == null || pHead.next == null)
return null;
ListNode slow = pHead, fast = pHead;
do {
fast = fast.next.next;
slow = slow.next;
} while (slow != fast);
fast = pHead;
while (slow != fast) {
slow = slow.next;
fast = fast.next;
}
return slow;
}